Hitachi

Hitachi Advanced Data Binder システム構築・運用ガイド


2.8.6 データベースの参照・更新時に排他が取得されるディクショナリ表とシステム表

SQL文やコマンドを実行してデータベースを参照したり更新したりすると,ディクショナリ表(実表)とシステム表(実表)に対する排他が取得されます。データベースを参照したり更新したりした場合に,排他が取得されるディクショナリ表とシステム表について,次の2つの表に示します。

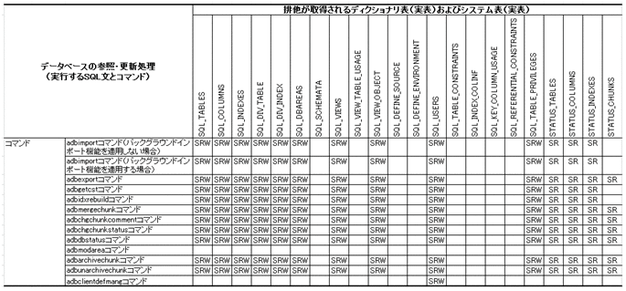
表2‒16 データベースの参照・更新時に排他が取得されるディクショナリ表とシステム表(その1)

[図データ]

(凡例)

EX:占有モード(EX)で排他を取得します。

SRW:共有参照モード(SR)で排他を取得します。なお,ほかのトランザクションによって対象の排他資源がすでに確保されている場合は,確保できるまで待ち状態になります。

SR:共有参照モード(SR)で排他を取得します。

表2‒17 データベースの参照・更新時に排他が取得されるディクショナリ表とシステム表(その2)

[図データ]

(凡例)

SRW:共有参照モード(SR)で排他を取得します。なお,ほかのトランザクションによって対象の排他資源がすでに確保されている場合は,確保できるまで待ち状態になります。

SR:共有参照モード(SR)で排他を取得します。