Hitachi Dynamic Link Manager ユーザーズガイド(Solaris用)

[目次][索引][前へ][次へ]


4.5.8 LUをHDLMの管理対象または管理対象外にする(Solaris Clusterを使用している場合)

この項の構成
(1) HDLM管理対象デバイスを管理対象外にする
(2) HDLM管理対象外デバイスを管理対象にする(ノードの再起動が必要な場合)
(3) HDLM管理対象外デバイスを管理対象にする(動的再構成の場合)

(1) HDLM管理対象デバイスを管理対象外にする

注意事項
  • LUをHDLMの管理対象外にする場合は,クラスタを構成するすべてのノードでLUを管理対象外にする操作を行って,ノードの構成を同一にしてください。
  • LUをHDLMの管理対象外にする場合は,ホストの再起動が必要です。

HDLM管理対象デバイスをHDLMの管理対象外にする手順を次に示します。

  1. Solarisにroot権限を持つユーザでログインします。
  2. HDLMの管理対象外にするデバイスを確認します。
    [図]
    網掛けの部分がHDLMの管理対象外にするLUのLDEV情報です。
  3. HDLMの管理対象外にするLUに,Quorumデバイスやディスクグループの設定を行っている場合には設定を解除します。
    SVMのディスクセットの登録を解除した場合,ディスクセットのデータは消去されます。データのバックアップを行ってください。
    QuorumデバイスおよびVxVMのディスクグループの設定の解除は,「3.18.2 HDLMをアンインストールする前の準備」の「(2) Solaris Clusterでの設定解除」を参照してください。
    SVMのディスクセットの解除は,「(5) SVMでの設定解除」を参照してください。
  4. HDLMドライバ非構成定義ファイル(/opt/DynamicLinkManager/config/dlmfdrv.unconf)内のHDLMの管理対象外にするLUの定義をテキストエディタで編集します。
    手順2で確認したHDLMの管理対象外にするLUのLDEV情報(網掛けの部分)を基に,HDLMドライバ非構成定義ファイル(/opt/DynamicLinkManager/config/dlmfdrv.unconf)から対応するLUを探して,対応するLUの定義のLDEV属性行の先頭の「#」(シャープ)を削除します。LDEV属性行の先頭のシャープを削除した場合,LDEV属性で示されるLUはHDLMの管理対象外になります。
    HDLMドライバ非構成定義ファイル(/opt/DynamicLinkManager/config/dlmfdrv.unconf)の編集例を次に示します。

    図4-8 /opt/DynamicLinkManager/config/dlmfdrv.unconfファイル(編集前)

    [図]

    図4-9 /opt/DynamicLinkManager/config/dlmfdrv.unconfファイル(編集後)

    [図]

    網掛けの部分が編集個所です。

    注意事項
    LDEVの行の先頭に「#」を削除する以外の編集をしないでください。
  5. HDLMドライバ非構成定義ファイル(/opt/DynamicLinkManager/config/dlmfdrv.unconf)の設定をHDLMドライバ構成定義ファイル(/kernel/drv/dlmfdrv.conf)に反映します。
    次のコマンドを実行します。
     
    # /opt/DynamicLinkManager/bin/dlmsetconf -u
     
  6. VxVMを使用している場合,HDLMの管理対象外デバイスをVxVMの無効化から解除する必要があります。
    VxVMの無効化を解除するHDLMの管理対象外デバイスを,/etc/vx/vxvm.excludeファイルの記述から削除します。
    VxVM設定ファイル作成支援ユティリティ(dlmvxexclude)の出力結果を次に示します。

    図4-10 VxVM設定ファイル作成支援ユティリティ(dlmvxexclude)の出力結果

    [図]

    図4-11 /etc/vx/vxvm.excludeファイルの記述

    [図]

    網掛けの部分が,VxVMの無効化を解除するHDLMの管理対象外デバイスです。
    dlmvxexcludeユティリティの詳細については,「7.11 dlmvxexclude VxVM設定ファイル作成支援ユティリティ」を参照してください。
  7. クラスタを構成するすべてのノードを停止します。
    任意の1ノードで,次のコマンドを実行します。
     
    # /usr/cluster/bin/cluster shutdown -g0 -y
     
  8. クラスタを構成するすべてのノードをクラスタモードで同時に起動します。
    okプロンプトで,boot -rを実行してください。

    注意事項
    ノードの起動中に次のメッセージがコンソール画面やsyslogに出力されることがあります。
    Unable to open '/dev/rdsk/c5t50060E80033A9902d2s2'
     
    このメッセージは,HDLM管理対象デバイスを管理対象外にしたために出力されます。次回のノードの起動時にこのメッセージを出力しないようにするためには,手順12から手順15でデバイスID情報の更新を行ってください。詳細は,Solaris Clusterのマニュアルを参照してください。
  9. クラスタを構成するすべてのノードでHDLMコマンドのviewオペレーションを実行して,各プログラムの状態を表示します。
    コマンドの実行例を,次に示します。
     
    # /opt/DynamicLinkManager/bin/dlnkmgr view -sys
    HDLM Version                 : x.x.x-xx
    Service Pack Version         : 
    Load Balance                 : on(extended lio)
    Support Cluster              :
    Elog Level                   : 3
    Elog File Size (KB)          : 9900
    Number Of Elog Files         : 2
    Trace Level                  : 0
    Trace File Size(KB)          : 1000
    Number Of Trace Files        : 4
    Path Health Checking         : on(30)
    Auto Failback                : off
    Intermittent Error Monitor   : off
    Dynamic I/O Path Control     : off(10)
    HDLM Manager Ver         WakeupTime
    Alive        x.x.x-xx    yyyy/mm/dd hh:mm:ss
    HDLM Alert Driver Ver         WakeupTime          ElogMem Size
    Alive             x.x.x-xx    yyyy/mm/dd hh:mm:ss 4096
    HDLM Driver Ver         WakeupTime
    Alive       x.x.x-xx    yyyy/mm/dd hh:mm:ss
    License Type Expiration
    Permanent    -
    KAPL01001-I HDLMコマンドが正常終了しました。オペレーション名 = view, 終了時刻 = yyyy/mm/dd hh:mm:ss
    #
     
    • クラスタソフトウェアを使用していても,「Support Cluster」には表示されません。しかし,クラスタ対応機能は問題なく動作します。
  10. viewオペレーションの実行結果からプログラムが正常に動作しているか確認します。
    HDLM Manager」,「HDLM Alert Driver」,「HDLM Driver」がすべて「Alive」であれば,プログラムが正常に動作しています。
  11. HDLMの管理対象外にしたLUを確認します。
    formatコマンドでLUを確認します。formatコマンドの実行例を次に示します。網掛けの部分がHDLMの管理対象外にしたLUです。

    図4-12 formatコマンドの実行例

    [図]

  12. 存在しないデバイスのデバイスID情報を削除します。
    次に示すコマンドを実行します。
     
    # /usr/cluster/bin/cldevice clear
     
  13. デバイスIDを割り当てます。
    次に示すコマンドを実行します。
     
    # /usr/cluster/bin/cldevice refresh
     

    注意事項
    cldevice refreshコマンド実行時,次のメッセージが出力される場合があります。
    Unable to open '/dev/rdsk/c5t50060E80033A9902d2s2'
    
    このメッセージは,HDLM管理対象外デバイスのHDLMデバイスの論理デバイスファイルが存在する場合に出力されます。不要な論理デバイスファイルは削除してください。詳細は,Solaris Clusterのマニュアルを参照してください。
  14. 最新のデバイスID情報をノードへ通知します。
    次に示すコマンドを実行します。
     
    # /usr/cluster/bin/scdidadm -ui
     
  15. クラスタの広域デバイス名前空間を更新します。
    次に示すコマンドを実行します。
     
    # /usr/cluster/bin/cldevice populate
     
  16. HDLMの管理対象外にしたデバイスをQuorum デバイスに使用する場合,クラスタ内のどれか1つのノードでQuorum デバイスを設定します。
    コマンドの実行例を次に示します。
    HDLM管理対象外デバイスのデバイスIDを確認します。
     
    # /usr/cluster/bin/cldevice list -v
     
    Quorumデバイスを設定します。
     
    # /usr/cluster/bin/clquorum add d4
     
    2つのノードで構成されている場合,クラスタのインストールモードを解除するため,次に示すコマンドを実行します。
     
    # /usr/cluster/bin/clquorum reset
     
  17. 必要に応じてディスクデバイスグループの登録,ファイルシステムの作成,グローバルマウントの設定などを行います。
    詳細はSolaris Clusterのマニュアルを参照してください。

(2) HDLM管理対象外デバイスを管理対象にする(ノードの再起動が必要な場合)

注意事項
クラスタを構成するすべてのノードで管理対象にするLUをHDLMドライバに認識させ,各ノードの構成を同一にしてください。

HDLM管理対象外デバイスを管理対象にする場合,ノードの再起動が必要なときの手順を次に示します。

  1. Solarisに,root権限を持つユーザでログインします。
  2. HDLMの管理対象にする LUとそのディスクラベルを確認します。
    formatコマンドでLUを確認し,ディスクラベルが設定されていることを確認します。formatコマンドの実行例を次に示します。網掛けの部分がHDLMの管理対象にするLUです。

    図4-13 formatコマンドの実行例

    [図]

    上記の実行例で,LUを選択すると,ディスクラベルが設定されていない場合は,「Disk not labeled. Label it now?」と出力されます。この場合は,yを入力し,ディスクラベルを設定してください。
  3. HDLMの管理対象にするLUに,Quorumデバイスやディスクデバイスグループの設定を行っている場合には設定を解除します。
    SVMのディスクセットの登録を解除した場合,ディスクセットのデータは消去されます。データのバックアップを行ってください。QuorumデバイスおよびVxVMのディスクグループの設定の解除は「3.18.2 HDLMをアンインストールする前の準備」の「(2) Solaris Clusterでの設定解除」を参照してください。
    SVMのディスクセットの解除は「(5) SVMでの設定解除」を参照してください。
  4. HDLMの管理対象にするLUに,ディスク予約で使用するkeyの登録が行われているか確認します。任意の1台のノードで次に示すコマンドを実行してください。
     
    # /usr/cluster/lib/sc/scsi -c inkeys -d HDLMの管理対象にするLUのスライス2の論理デバイスファイル名
     
    コマンドの実行例を次に示します。
     
    # /usr/cluster/lib/sc/scsi -c inkeys -d /dev/rdsk/c2t50060E80123EAC60d0s2
     
    keyが表示された場合には,手順5以降を行ってください。Quorumデバイスやディスクデバイスグループの設定を解除しても,ディスク予約で使用するkeyが登録されたままとなるため,非クラスタモードでのノードの再起動とkeyの登録の解除が必要になります。
    keyが表示されない場合,手順9以降を行ってください。
  5. クラスタを構成するすべてのノードを同時に停止します。
    任意の1台のノードで,次のコマンドを実行してください。
    # /usr/cluster/bin/cluster shutdown -g0 -y
     
  6. クラスタを構成するすべてのノードを非クラスタモードで起動します。
    okプロンプトで,boot -xを実行してください。
  7. HDLMの管理対象にするLUのkeyの登録を解除します。
    任意の1台のノードで次に示すコマンドを実行してください。
    # /usr/cluster/lib/sc/scsi -c scrub -d HDLMの管理対象にするLUのスライス2の論理デバイスファイル名
    
    コマンドの実行例を次に示します。
     
    # /usr/cluster/lib/sc/scsi -c scrub -d /dev/rdsk/c2t50060E80123EAC60d0s2
     
  8. HDLMの管理対象にするLUのkeyの登録が解除されていることを確認します。
    任意の1台のノードで手順4を再度行い,keyが表示されないことを確認してください。
  9. HDLM ドライバ非構成定義ファイル(/opt/DynamicLinkManager/config/dlmfdrv.unconf)を編集します。
    HDLMドライバ非構成定義ファイル(/opt/DynamicLinkManager/config/dlmfdrv.unconf)内のHDLMの管理対象にするLUの定義をテキストエディタで編集します。手順2で確認したHDLMの管理対象にするLUのパスの情報(網掛けの部分)を基に,HDLMドライバ非構成定義ファイル(/opt/DynamicLinkManager/config/dlmfdrv.unconf)から対応するLUを探して,対応するLUの定義のLDEV属性行の先頭に「#」(シャープ)を付けます。LDEV属性行の先頭にシャープを付けた場合,LDEV属性で示されるLUはHDLMの管理対象になります。
    HDLMドライバ非構成定義ファイル(/opt/DynamicLinkManager/config/dlmfdrv.unconf)の編集例を次に示します。

    図4-14 /opt/DynamicLinkManager/config/dlmfdrv.unconfファイル(編集前)

    [図]

    図4-15 /opt/DynamicLinkManager/config/dlmfdrv.unconfファイル(編集後)

    [図]

    網掛けの部分が編集個所です。

    注意事項
    LDEVの行の先頭に「#」を追加または削除する以外の編集をしないでください。
  10. HDLMドライバ非構成定義ファイル(/opt/DynamicLinkManager/config/dlmfdrv.unconf)の設定をHDLMドライバ構成定義ファイル(/kernel/drv/dlmfdrv.conf)に反映します。
    次に示すコマンドを実行します。
     
    # /opt/DynamicLinkManager/bin/dlmsetconf -u
     
  11. VxVMを使用する場合,追加されたLUに対応するHDLMデバイス以外のデバイス(sdまたはssdデバイスなど)を,VxVMから無効化する必要があります。
    3.14.3 VxVMでのデバイスの無効化」の「(2) コントローラ単位で無効化する場合の設定方法」または「(3) パス単位でデバイスを無効化する場合の設定方法」に従って設定してください。
  12. クラスタを構成するすべてのノードを停止します。
    手順4でkeyが表示され,手順6で非クラスタモードでノードを起動している場合には,すべてのノードで次に示すコマンドを実行してください。
     
    # shutdown -g0 -y -i0
     
    クラスタモードでノードを起動している場合には,任意の1ノードで次に示すコマンドを実行してください。
     
    # cluster shutdown -g0 -y
     
  13. クラスタを構成するすべてのノードをクラスタモードで同時に起動します。
    okプロンプトで,boot -rを実行してください。

    注意事項
    ノードの起動中に次のメッセージがコンソール画面やsyslogに出力されることがあります。
    Could not read symbolic link for: /dev/rdsk/c2t50060E80123EAC60d0s2 path not loaded
     
    このメッセージは,HDLMが管理対象とするsdまたはssdデバイスの論理デバイスファイルを,HDLMが削除したために出力されます。次回のノードの起動時にこのメッセージを出力しないようにするためには,手順17から手順20でデバイスID情報の更新を行ってください。詳細は,Solaris Clusterのマニュアルを参照してください。
  14. クラスタを構成するすべてのノードでHDLMコマンドのviewオペレーションを実行して,各プログラムの状態を表示します。
    コマンドの実行例を,次に示します。
     
    # /opt/DynamicLinkManager/bin/dlnkmgr view -sys
    HDLM Version                 : x.x.x-xx
    Service Pack Version         : 
    Load Balance                 : on(extended lio)
    Support Cluster              :
    Elog Level                   : 3
    Elog File Size (KB)          : 9900
    Number Of Elog Files         : 2
    Trace Level                  : 0
    Trace File Size(KB)          : 1000
    Number Of Trace Files        : 4
    Path Health Checking         : on(30)
    Auto Failback                : off
    Intermittent Error Monitor   : off
    Dynamic I/O Path Control     : off(10)
    HDLM Manager Ver         WakeupTime
    Alive        x.x.x-xx    yyyy/mm/dd hh:mm:ss
    HDLM Alert Driver Ver         WakeupTime          ElogMem Size
    Alive             x.x.x-xx    yyyy/mm/dd hh:mm:ss 4096
    HDLM Driver Ver         WakeupTime
    Alive       x.x.x-xx    yyyy/mm/dd hh:mm:ss
    License Type Expiration
    Permanent    -
    KAPL01001-I HDLMコマンドが正常終了しました。オペレーション名 = view, 終了時刻 = yyyy/mm/dd hh:mm:ss
    #
     
    • クラスタソフトウェアを使用していても,「Support Cluster」には表示されません。しかし,クラスタ対応機能は問題なく動作します。
  15. viewオペレーションの実行結果からプログラムが正常に動作しているか確認します。
    HDLM Manager」,「HDLM Alert Driver」,「HDLM Driver」がすべて「Alive」であれば,プログラムが正常に動作しています。
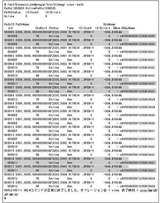
  16. HDLMの管理対象にしたLUにアクセスするパスの状態を確認します。
    コマンドの実行例を次に示します。網掛けの部分がHDLMの管理対象にしたLUにアクセスするパスです。
    [図]
  17. 存在しないデバイスのデバイスID情報を削除します。
    次に示すコマンドを実行します。
     
    # /usr/cluster/bin/cldevice clear
     
  18. デバイスIDを割り当てます。
    次に示すコマンドを実行します。
     
    # /usr/cluster/bin/cldevice refresh
     
  19. 最新のデバイスID情報をノードへ通知します。
    次に示すコマンドを実行します。
    # /usr/cluster/bin/scdidadm -ui
     
  20. クラスタの広域デバイス名前空間を更新します。
    次に示すコマンドを実行します。
     
    # /usr/cluster/bin/cldevice populate
     
  21. HDLM管理対象デバイスをQuorum デバイスに使用する場合,クラスタ内のどれか1つのノードでQuorum デバイスを設定します。
    コマンドの実行例を次に示します。
    HDLMデバイスのデバイスIDを確認します。
     
    # /opt/DynamicLinkManager/bin/dlnkmgr view -path
    # /usr/cluster/bin/cldevice list -v
     
    Quorumデバイスを設定します。
     
    # /usr/cluster/bin/clquorum add d4
     
    2つのノードで構成されている場合,クラスタのインストールモードを解除するため,次に示すコマンドを実行します。
     
    # /usr/cluster/bin/clquorum reset
     
  22. 次のコマンドを実行してHDevName とiLU の欄を参照します。
     
    # /opt/DynamicLinkManager/bin/dlnkmgr view -path
     
    コマンドの実行結果からHDLMデバイスの論理デバイスファイル名(HDevName)と内部LU番号(iLU)の対応を調べてください。その結果とHDLMをインストールする前の論理デバイスファイル名と内部LU番号の対応とを比較して,HDLMデバイスを使用するプログラムにHDLMデバイスを登録し直してください。
    ボリューム管理ソフトウェアを使用してHDLM管理対象デバイスにファイルシステムを作成して使用する場合は,手順24を実行します。
  23. ディスクデバイスグループの登録を行います。
    VxVMを使用している場合,「3.14.5 VxVMとSolaris Clusterの連携」を参照してください。
    SVMを使用している場合,「3.15.2 HDLMデバイスを登録する」の「(2) 共有ディスクセットを使用する場合」を参照してください。
  24. 必要に応じてファイルシステムの作成やグローバルマウントの設定などを行います。
    詳細はSolaris Clusterのマニュアルを参照してください。

(3) HDLM管理対象外デバイスを管理対象にする(動的再構成の場合)

注意事項

HDLM管理対象外デバイスを管理対象にする手順を次に示します。

  1. Solarisに,root権限を持つユーザでログインします。
  2. HDLMの管理対象にする LUとそのディスクラベルを確認します。
    formatコマンドでLUを確認し,ディスクラベルが設定されていることを確認します。formatコマンドの実行例を次に示します。網掛けの部分がHDLMの管理対象にするLUです。

    図4-16 formatコマンドの実行例

    [図]

    上記の実行例で,LUを選択すると,ディスクラベルが設定されていない場合は,「Disk not labeled. Label it now?」と出力されます。この場合は,yを入力し,ディスクラベルを設定してください。
  3. HDLMの管理対象にするLUに,Quorumデバイスやディスクデバイスグループの設定を行っている場合には設定を解除します。
    SVMのディスクセットの登録を解除した場合,ディスクセットのデータは消去されます。データのバックアップを行ってください。QuorumデバイスおよびVxVMのディスクグループの設定の解除は,「3.18.2 HDLMをアンインストールする前の準備」の「(2) Solaris Clusterでの設定解除」を参照してください。
    SVMのディスクセットの解除は,「(5) SVMでの設定解除」を参照してください。
  4. HDLMの管理対象にするLUに,ディスク予約で使用するkeyの登録が行われているか確認します。
    任意の1台のノードで次に示すコマンドを実行してください。
     
    # /usr/cluster/lib/sc/scsi -c inkeys -d HDLMの管理対象にするLUのスライス2の論理デバイスファイル名
     
    コマンドの実行例を次に示します。
     
    # /usr/cluster/lib/sc/scsi -c inkeys -d /dev/rdsk/c2t50060E80123EAC60d0s2
     
    keyが表示された場合には,「4.5.8 LUをHDLMの管理対象または管理対象外にする(Solaris Clusterを使用している場合)」の「(2) HDLM管理対象外デバイスを管理対象にする(ノードの再起動が必要な場合)」の手順5以降の手順で,LUをHDLMの管理対象にしてください。Quorumデバイスやディスクデバイスグループの設定を解除しても,ディスク予約で使用するkeyが登録されたままとなるため,非クラスタモードでのノードの再起動とkeyの登録の解除が必要になります。
    keyが表示されなかった場合には,手順5以降を行ってください。
  5. HDLM ドライバ非構成定義ファイル(/opt/DynamicLinkManager/config/dlmfdrv.unconf)を編集します。
    HDLM ドライバ非構成定義ファイル(/opt/DynamicLinkManager/config/dlmfdrv.unconf)内のHDLMの管理対象にするLUの定義をテキストエディタで編集します。手順2で確認したHDLMの管理対象にするLUのパスの情報(網掛けの部分)を基に,HDLMドライバ非構成定義ファイル(/opt/DynamicLinkManager/config/dlmfdrv.unconf)から対応するLUを探して,対応するLUの定義のLDEV属性行の先頭に「#」(シャープ)を付けます。LDEV属性行の先頭にシャープを付けた場合,LDEV属性で示されるLUはHDLMの管理対象になります。
    HDLMドライバ非構成定義ファイル(/opt/DynamicLinkManager/config/dlmfdrv.unconf)の編集例を次に示します。

    図4-17 /opt/DynamicLinkManager/config/dlmfdrv.unconfファイル(編集前)

    [図]

    図4-18 /opt/DynamicLinkManager/config/dlmfdrv.unconfファイル(編集後)

    [図]

    網掛けの部分が編集個所です。

    注意事項
    LDEVの行の先頭に「#」を追加または削除する以外の編集をしないでください。
  6. HDLMドライバ非構成定義ファイル(/opt/DynamicLinkManager/config/dlmfdrv.unconf)の設定をHDLMドライバ構成定義ファイル(/kernel/drv/dlmfdrv.conf)に反映します。
    次のコマンドを実行します。
     
    # /opt/DynamicLinkManager/bin/dlmsetconf -u
     
  7. 次に示すdlmcfgmgrユティリティを実行し,HDLMの管理対象にするLUをHDLMドライバに認識させます。
     
    # /opt/DynamicLinkManager/bin/dlmcfgmgr -a
     
  8. HDLMの管理対象にしたLUにアクセスするパスの状態を確認します。
    コマンドの実行例を次に示します。網掛けの部分がHDLMの管理対象にしたLUにアクセスするパスです。
    [図]
  9. 存在しないデバイスのデバイスID情報を削除します。
    次に示すコマンドを実行します。
     
    # /usr/cluster/bin/cldevice clear
     
  10. デバイスIDを割り当てます。
    次に示すコマンドを実行します。
     
    # /usr/cluster/bin/cldevice refresh
     
  11. 最新のデバイスID情報をノードへ通知します。
    次に示すコマンドを実行します。
    # /usr/cluster/bin/scdidadm -ui
    
  12. クラスタの広域デバイス名前空間を更新します。
    次に示すコマンドを実行します。
     
    # /usr/cluster/bin/cldevice populate
     
  13. HDLM管理対象デバイスをQuorum デバイスに使用する場合,クラスタ内のどれか1つのノードでQuorum デバイスを設定します。
    コマンドの実行例を次に示します。
    HDLMデバイスのデバイスIDを確認します。
     
    # /opt/DynamicLinkManager/bin/dlnkmgr view -path
    # /usr/cluster/bin/cldevice list -v
     
    Quorumデバイスを設定します。
     
    # /usr/cluster/bin/clquorum add d4
     
    2つのノードで構成されている場合,クラスタのインストールモードを解除するため,次に示すコマンドを実行します。
     
    # /usr/cluster/bin/clquorum reset
     
  14. 次のコマンドを実行してHDevName とiLU の欄を参照します。
     
    # /opt/DynamicLinkManager/bin/dlnkmgr view -path
     
    コマンドの実行結果からHDLMデバイスの論理デバイスファイル名(HDevName)と内部LU番号(iLU)の対応を調べてください。その結果とHDLMをインストールする前の論理デバイスファイル名と内部LU番号の対応とを比較して,HDLMデバイスを使用するプログラムにHDLMデバイスを登録し直してください。
    ボリューム管理ソフトウェアを使用してHDLM管理対象デバイスにファイルシステムを作成して使用する場合は,手順16を実行します。
  15. ディスクデバイスグループの登録を行います。
    VxVMを使用している場合,「3.14.5 VxVMとSolaris Clusterの連携」を参照してください。
    SVMを使用している場合,「3.15.2 HDLMデバイスを登録する」の「(2) 共有ディスクセットを使用する場合」を参照してください。
  16. 必要に応じてファイルシステムの作成やグローバルマウントの設定などを行います。
    詳細はSolaris Clusterのマニュアルを参照してください。