ストリームデータ処理基盤 uCosminexus Stream Data Platform - Application Framework アプリケーション開発ガイド
形式
VAR'('<value>')'
機能
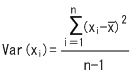
次に示す計算式に従って分散を算出します。
引数
<value>
演算対象の数値を値式で指定します。
戻り値
分散を返します。
引数のデータ型と戻り値のデータ型の関係を次の表に示します。
| 統計関数名 | 引数 | 引数のデータ型 | 戻り値のデータ型 |
|---|---|---|---|
| VAR | value | DOUBLE | DOUBLE |
| FLOAT |
注意事項
入力リレーションのタプル数が1の場合は,非数(NaN)を返します。
All Rights Reserved. Copyright (C) 2010, 2014, Hitachi, Ltd.