ストリームデータ処理基盤 uCosminexus Stream Data Platform - Application Framework アプリケーション開発ガイド
形式
STDDEV_POP'('<value>')'
機能
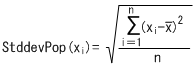
次に示す計算式に従って母集団標準偏差を算出します。
引数
<value>
演算対象の数値を値式で指定します。
戻り値
母集団標準偏差を返します。
引数のデータ型と戻り値のデータ型の関係を次の表に示します。
| 統計関数名 | 引数 | 引数のデータ型 | 戻り値のデータ型 |
|---|---|---|---|
| STDDEV_POP | value | DOUBLE | DOUBLE |
| FLOAT |
注意事項
入力リレーションのタプル数が1の場合は,正のゼロ(0.0)を返します。
All Rights Reserved. Copyright (C) 2010, 2014, Hitachi, Ltd.