20.2 KFDBで始まるメッセージ
DABroker Libraryが出力するKFDB001DBからKFDB302NMまでのメッセージについて説明します。
-
KFDB001DB-E
Required memory cannot be obtained. ErrInfo[aa....aa]
aa....aa:保守用情報
- 説明
-
処理に必要な領域の確保時,メモリ不足が発生しました。
処理を終了します。
- 対処
-
実行中のほかの処理を終了してから,再実行してください。
-
KFDB001EC-E
コマンドの引数に誤りがあります。使用法:dabstop[-p | -f | -c IPアドレス又はホスト名]
- 説明
-
dabstopコマンドのオプションに誤りがあります。
処理を終了します。
- 対処
-
コマンドを正しく指定して,再実行してください。
-
KFDB001LM-E
システムコールでエラーが発生しました。[aa....aa() errno=bb....bb]
aa....aa:システムコール名称
bb....bb:エラー番号
- 説明
-
OSのシステムコール関数でエラーが発生しました。
処理を終了します。
- 対処
-
操作を再実行してください。なお,このエラーが繰り返し発生する場合は,システム管理者に連絡してください。
-
KFDB001RM-E
システムコールでエラーが発生しました。[aa....aa() errno=bb....bb]
aa....aa:システムコール名称
bb....bb:エラー番号
- 説明
-
OSのシステムコール関数でエラーが発生しました。
処理を終了します。
- 対処
-
操作を再実行してください。なお,このエラーが繰り返し発生する場合は,システム管理者に連絡してください。
-
KFDB001RR-E
指定されたユーザIDのデータベースとのアクセストレースは見つかりません。
- 説明
-
指定したユーザIDのデータベースアクセストレースが見つかりません。
処理を終了します。
- 対処
-
指定したユーザIDを確認してください。
-
KFDB001SM-E
システムコールでエラーが発生しました。[aa....aa() errno=bb....bb]
aa....aa:システムコール名称
bb....bb:エラー番号
- 説明
-
OSのシステムコール関数でエラーが発生しました。
処理を終了します。
- 対処
-
操作を再実行してください。なお,このエラーが繰り返し発生する場合は,システム管理者に連絡してください。
-
KFDB001TD-E
システムコールでエラーが発生しました。[errno=aa....aa]
aa....aa:システムコールのエラー番号
- 説明
-
OSのシステムコール関数でエラーが発生しました。
クライアントからの要求を受け付けません。
- 対処
-
操作を再実行してください。なお,このエラーが繰り返し発生する場合は,システム管理者に連絡してください。
-
KFDB001TJ-E
JNI function (aa....aa) failed. LINE:bb....bb
aa....aa:Javaのシステム関数名称
bb....bb:保守用情報
- 説明
-
Javaのシステム関数でエラーが発生しました。
このメッセージをスローします。
- 対処
-
保守員に連絡してください。
-
KFDB002DB-E
RDBMSに対する要求シーケンスが不正です。ErrInfo[aa....aa]
aa....aa:保守用情報
- 説明
-
ユーザからRDBMSに対する要求シーケンスが誤っています。
ユーザからの要求を受け付けません。
- 対処
-
RDBMSに対する要求シーケンスを見直してください。
-
KFDB002MM-E
動作環境定義に誤りがあります。[aa....aa]
aa....aa:環境変数名
- 説明
-
処理を終了します。
次の要因が考えられます。
-
DABroker Library動作環境定義ファイルに設定した環境変数の値に誤りがあります。
-
ユーザが設定した環境変数の値に誤りがあります。
-
- 対処
-
要因に応じて対処してください。
-
テキストエディタを使用して,DABroker Library動作環境定義ファイルの環境変数の値を修正してください。
-
ユーザが設定した環境変数の値を修正してください。
-
-
KFDB002RC-E
コマンドの引数に誤りがあります。使用法:dabdbtrc [-u ユーザID] [-pプログラム名]
- 説明
-
dabdbtrcコマンドに指定したオプションに誤りがあります。
処理を終了します。
- 対処
-
コマンドを正しく指定して,再実行してください。
-
KFDB002RR-E
指定されたプログラム名のデータベースとのアクセストレースは見つかりません。
- 説明
-
指定したクライアントのプログラム名のデータベースアクセストレースが見つかりません。
処理を終了します。
- 対処
-
指定したクライアントのプログラム名を確認してください。
-
KFDB002SM-E
共有メモリを取得できませんでした。[shmget() errno=aa....aa]
aa....aa:エラー番号
- 説明
-
OSのシステムコール関数(shmget)でエラーが発生しました。
処理を終了します。
- 対処
-
操作を再実行してください。なお,このエラーが繰り返し発生する場合は,システム管理者に連絡してください。
-
KFDB002TD-E
メモリ不足が発生しました。
- 説明
-
メモリ不足が発生しました。
クライアントからの要求を受け付けません。
- 対処
-
しばらく時間を空けてから,再実行してください。なお,このエラーが繰り返し発生する場合は,システム管理者に連絡してください。
-
KFDB002TJ-E
Handle of dayd_Control is NULL. LINE:aa....aa
aa....aa:保守用情報
- 説明
-
内部関数(dayd_Control())で使うハンドルがNULLです。
このメッセージをスローします。
- 対処
-
保守員に連絡してください。
-
KFDB003DB-E
システムコールでエラーが発生しました。ErrInfo[aa....aa() errno=bb....bb]
aa....aa:システムコール名称
bb....bb:エラー番号
- 説明
-
OSのシステムコール関数でエラーが発生しました。
処理を終了します。
- 対処
-
操作を再実行してください。なお,繰り返し発生する場合は,システム管理者に連絡してください。
-
KFDB003LC-E
ユティリティの実行中にメモリ不足が発生しました。
- 説明
-
ユティリティの実行中にメモリ不足が発生しました。
処理を終了します。
- 対処
-
しばらく時間を空けてから,再実行してください。なお,このエラーが繰り返し発生する場合は,システム管理者に連絡してください。
-
KFDB003MM-E
動作環境定義に誤りがあります。LINE=aa....aa [bb....bb]
aa....aa:エラー発生行
bb....bb:エラー発生定義
- 説明
-
処理を終了します。
次の要因が考えられます。
-
DABroker Library動作環境定義ファイルの構文に誤りがあります。
-
DABroker Library動作環境定義ファイルに設定した環境変数の値に誤りがあります。
-
- 対処
-
テキストエディタを使用して,DABroker Library動作環境定義ファイルを修正してください。
-
KFDB003NM-E
DABrokerの実行中にメモリ不足が発生しました。
- 説明
-
DABroker Libraryの実行中にメモリ不足が発生しました。
処理を終了します。
- 対処
-
ほかのアプリケーションプログラムを終了して,再実行してください。
-
KFDB003RC-E
ユティリティの実行中にメモリ不足が発生しました。
- 説明
-
ユティリティの実行中にメモリ不足が発生しました。
処理を終了します。
- 対処
-
しばらく時間を空けてから,再実行してください。なお,このエラーが繰り返し発生する場合は,システム管理者に連絡してください。
-
KFDB003RR-E
指定されたユーザID,又はプログラム名のデータベースとのアクセストレースは見つかりません。
- 説明
-
指定したユーザID,またはクライアントのプログラム名の,データベースアクセストレースが見つかりません。
処理を終了します。
- 対処
-
指定したユーザID,またはクライアントのプログラム名を確認してください。
-
KFDB003SM-E
共有メモリを削除できませんでした。[shmctl() errno=aa....aa]
aa....aa:エラー番号
- 説明
-
OSのシステムコール関数(shmctl)でエラーが発生しました。
処理を続行します。
- 対処
-
このエラーが繰り返し発生する場合は,システム管理者に連絡してください。
-
KFDB003TD-E
指定されたカーソルは使用中,又は初期化処理がされていません。[CursorId=aa....aa]
aa....aa:カーソル番号
- 説明
-
指定されたカーソルは,ほかの処理で使用中です。または,初期化処理がされていません。
クライアントからの要求を受け付けません。
- 対処
-
未使用のカーソルを使用して,再実行してください。または,初期化処理をしてください。
-
KFDB003TJ-E
Invalid handle. LINE:aa....aa
aa....aa:保守用情報
- 説明
-
Java I/F関数に指定するハンドルに不正があります。
このメッセージをスローします。
- 対処
-
保守員に連絡してください。
-
KFDB004DB-I
DBMSに対する処理を中断しました。
- 説明
-
DBMSに対する処理を中断しました。
- 対処
-
必要に応じて再実行してください。
-
KFDB004MM-E
DABroker is not installed.
- 説明
-
DABroker Libraryがインストールされていないか,インストール環境が不正です。
処理を中断します。
- 対処
-
DABroker Libraryを再インストールしてください。
-
KFDB004NM-E
動作環境が不正です。DABrokerをインストールし直してください。
- 説明
-
処理を終了します。
次の要因が考えられます。
-
インストールが正しく完了していない。
-
環境変数(レジストリ)が不正である。
-
DABroker Libraryのファイルがないか,または破壊されている。
-
- 対処
-
イベントログ(アプリケーション)にほかのメッセージが出力されている場合は,出力されているエラーメッセージを参照して,対処してください。エラーメッセージが出力されていない場合は,DABroker Libraryをインストールし直して,再実行してください。
-
KFDB004SM-E
セマフォを取得できませんでした。[semget() errno=aa....aa]
aa....aa:エラー番号
- 説明
-
OSのシステムコール関数(semget)でエラーが発生しました。
処理を終了します。
- 対処
-
操作を再実行してください。なお,このエラーが繰り返し発生する場合は,システム管理者に連絡してください。
-
KFDB004TD-E
カーソルの値が不正です。[CursorId=aa....aa]
aa....aa:カーソルの値
- 説明
-
指定されたカーソルの値が不正です。
クライアントからの要求を受け付けません。
- 対処
-
カーソルは1から64の値を指定してください。
-
KFDB004TJ-E
Local storage allocation failed.
- 説明
-
メモリの確保ができません。
このメッセージをスローします。
- 対処
-
システム管理者に連絡して,メモリの確保ができる状態にしてください。
-
KFDB005DB-E
DABrokerでサポートされていないデータ属性がありました。 [aa....aa]
aa....aa:サポートされていない列属性コード(16進表示)
- 説明
-
指定した表列属性(aa....aa)は,DABroker Libraryでサポートしていません。
ユーザからの要求を受け付けません。
- 対処
-
列属性を修正し,ユーザからの要求を再実行してください。なお,列属性コードについては接続先のデータベースのマニュアルを参照してください。
-
KFDB005MM-E
システムコールでエラーが発生しました。[aa....aa errno=bb....bb]
aa....aa:エラー発生関数の名称
bb....bb:エラー番号
- 説明
-
aa....aa関数でエラーが発生しました。
処理を中断します。
- 対処
-
エラー番号(bb....bb)を見て要因がわかる場合は,対処してください。要因がわからない場合は,保守員に連絡してください。
-
KFDB005NM-E
DABrokerの初期化中にエラーが発生しました。
- 説明
-
DABroker Libraryの初期化処理でエラーが発生しました。
処理を終了します。
- 対処
-
-
イベントログ(アプリケーション)にほかのメッセージが出力されている場合は,出力されているエラーメッセージを参照して,対処してください。
-
ログファイル(dabsv.log)にほかのメッセージが出力されている場合は,出力されているエラーメッセージを参照して,対処してください。
-
上記の対処でエラーが解決できない場合は,既存の定義ファイルdasysconfを退避したあと,削除してください。
-
-
KFDB005SM-E
セマフォを削除できませんでした。[semctl() errno=aa....aa]
aa....aa:エラー番号
- 説明
-
OSのシステムコール関数(semctl)でエラーが発生しました。
処理を続行します。
- 対処
-
このエラーが繰り返し発生する場合は,システム管理者に連絡してください。
-
KFDB005TD-E
不正なデータを受信しました。[ErrorCode=aa....aa]
aa....aa:保守用情報
- 説明
-
クライアントから不正なデータを受信しました。
クライアントからの要求を受け付けません。
- 対処
-
保守員に連絡してください。
-
KFDB005TJ-E
Invalid argument. LINE:aa....aa
aa....aa:保守用情報
- 説明
-
Java I/F関数に指定する引数に不正があります。
このメッセージをスローします。
- 対処
-
保守員に連絡してください。
-
KFDB006DB-E
指定したDBMSと接続したDBMSが異なります。
user DBMS=aa....aa system DBMS=bb....bb nodename=cc....cc
aa....aa:ユーザが指定したDBMS
bb....bb:DABroker Libraryが接続したDBMS
cc....cc:RDノード名称
- 説明
-
ユーザが指定したDBMSと接続したDBMSが異なります。
ユーザの要求を受け付けません。
- 対処
-
接続するDBMSを見直し,指定し直してください。
-
KFDB006MM-E
System call error occurred. [aa....aa errno=bb....bb]
aa....aa:エラー発生関数の名称
bb....bb:エラー番号
- 説明
-
aa....aa関数でエラーが発生しました。
処理を終了します。
- 対処
-
エラー番号(bb....bb)を見て要因がわかる場合は,対処してください。要因がわからない場合は,保守員に連絡してください。
-
KFDB006SM-E
ユティリティの実行中にメモリ不足が発生しました。
- 説明
-
ユティリティの実行中にメモリ不足が発生しました。
処理を終了します。
- 対処
-
しばらく時間を空けてから,再実行してください。なお,このエラーが繰り返し発生する場合は,システム管理者に連絡してください。
-
KFDB006TA-E
不正なデータを受信しました。エラーコード= [aa....aa],[bb....bb]
aa....aa:エラーコード1(保守用情報)
bb....bb:エラーコード2(保守用情報)
- 説明
-
クライアントから不正なデータを受信しました。
クライアントからの要求を受け付けません。
- 対処
-
保守員に連絡してください。
-
KFDB006TD-E
必要なパラメタがありません。または,パラメタの値が不正です。[aa....aa]
aa....aa:パラメタ名
USER ID:ユーザID
RD NODE NAME:RDノード名称
TABLE TYPE:表属性
ABSTRACT KIND:データベース種別名
ABSTRACT NAME:データベース名
DATASOURCE:ODBC3.0のデータソース名
- 説明
-
パラメタがありません。または,パラメタの値が不正です。
クライアントからの要求を受け付けません。
- 対処
-
パラメタを正しく設定して,再実行してください。
-
KFDB006TJ-E
Invalid calling sequence. LINE:aa....aa
aa....aa:保守用情報
- 説明
-
Java I/F関数の呼び出し順序が不正です。
このメッセージをスローします。
- 対処
-
保守員に連絡してください。
-
KFDB007DB-E
DABrokerでは,繰り返し列,及び配列列を含む表はサポートしていません。
- 説明
-
DABroker Libraryでは,繰り返し列および配列列を含む表はサポートしていません。
ユーザからの要求を受け付けません。
- 対処
-
列属性を修正し,ユーザからの要求を再実行してください。
-
KFDB007MM-E
The message file could not be opened. [aa....aa errno=bb....bb]
aa....aa:メッセージファイル名称
bb....bb:エラー番号
- 説明
-
DABroker Libraryの動作環境が破壊されているため,DABroker Libraryのメッセージファイルがオープンできません。
処理を続行します。このメッセージ出力以降は,メッセージIDだけを出力します。セットアップコマンドの場合は,処理を中止します。
- 対処
-
DABroker Libraryを組み込み直してください。
-
KFDB007TD-E
指定された機能はサポートしていません。[RequestCode=aa....aa]
aa....aa:保守用情報
- 説明
-
クライアントのバージョンが新しいため,サポートしていない機能を要求しました。または,クライアントが不正なデータを送信しました。
クライアントからの要求を受け付けません。
- 対処
-
システム管理者に連絡してください。
-
KFDB007TJ-E
Storage allocation failed.
- 説明
-
メモリの確保ができないのでDBMS側が処理できません。
このメッセージをスローします。
- 対処
-
システム管理者に連絡してください。メモリの確保ができる状態にしてください。
-
KFDB008MM-E
An error occurred in a system call during output of aa....aa. [bb....bb errno=cc....cc]
aa....aa:メッセージログファイル名称
bb....bb:エラー発生関数名称
cc....cc:エラー番号
- 説明
-
メッセージログ出力中にシステムコールエラーが発生しました。
処理を続行し,メッセージをsyslogに出力します。
- 対処
-
このエラーが繰り返し発生する場合は,システム管理者に連絡してください。
-
KFDB008TD-E
システムでエラーが発生しました。[ErrorCode=aa....aa]
aa....aa:保守用情報
- 説明
-
システムでエラーが発生しました。
クライアントからの要求を受け付けません。
- 対処
-
保守員に連絡してください。
-
KFDB008TJ-E
jbyteArray of send data is NULL. LINE:aa....aa
aa....aa:保守用情報
- 説明
-
Java I/F関数に渡された送信データがNULLです。
このメッセージをスローします。
- 対処
-
保守員に連絡してください。
-
KFDB009MM-E
メモリを確保できませんでした。aa....aa
aa....aa:保守用情報
- 説明
-
DABroker Libraryの動作に必要なメモリが不足しています。
DABroker Libraryを終了します。
- 対処
-
しばらく時間を空けてから,再実行してください。なお,このエラーが繰り返し発生する場合は,システム管理者に連絡してください。
-
KFDB009TD-E
返信データの要求サイズが不正です。[ResponseSize=aa....aa]
aa....aa:保守用情報
- 説明
-
クライアントが要求した返信データのサイズが不正です。
クライアントからの要求を受け付けません。
- 対処
-
保守員に連絡してください。
-
KFDB009TJ-E
Size of receive buffer is under 0. LINE:aa....aa
aa....aa:保守用情報
- 説明
-
Java I/F関数に渡された受信データバッファサイズが負の数です。
このメッセージをスローします。
- 対処
-
保守員に連絡してください。
-
KFDB010MM-E
接続先データベース定義に誤りがあります。LINE=aa....aa [bb....bb]
aa....aa:エラー発生行
bb....bb:エラー発生定義
- 説明
-
接続先データベース定義に誤りがあります。
処理を終了します。
次の要因が考えられます。
-
接続先データベース定義ファイルの構文に誤りがあります。
-
接続先データベース定義ファイルに設定した値に誤りがあります。
-
- 対処
-
テキストエディタを使用して,接続先データベース定義ファイルを修正してください。
-
KFDB010TD-E
要求コードのシーケンスエラーが発生しました。[RequestCode=aa....aa]
aa....aa:保守用情報
- 説明
-
クライアントからの要求コードのシーケンスエラーが発生しました。
クライアントからの要求を受け付けません。
- 対処
-
保守員に連絡してください。
-
KFDB010TJ-E
The size of the received data is over the buffer size. LINE:aa....aa
aa....aa:保守用情報
- 説明
-
Java I/F関数に渡された受信バッファサイズを受信データのサイズが超えました。
このメッセージをスローします。
- 対処
-
保守員に連絡してください。
-
KFDB011DB-E
接続しているDBMSでエラーが発生しました。nodename=aa....aa SQLCODE=bb....bb Info=[cc....cc]
aa....aa:RDノード名称
bb....bb:接続しているDBMSのSQLコード
cc....cc:接続しているDBMSのSQLコードに対する付加情報(付加情報がない場合は出力されません)
- 説明
-
接続しているDBMSでエラーが発生しました。
ユーザからの要求を受け付けません。
- 対処
-
接続しているDBMSのマニュアルを参照してください。
-
KFDB011MM-E
動作環境定義ファイルに対するアクセス権限が有りません。[aa....aa]
aa....aa:DABroker Library動作環境定義ファイル名称
- 説明
-
DABroker Library動作環境定義ファイルに対するアクセス権限がありません。
処理を終了します。
- 対処
-
DABroker Library動作環境定義ファイルにリード権限があるかどうか調べてください。リード権限がなければ,リード権限を付加してください。なお,このエラーが繰り返し発生する場合は,システム管理者に連絡してください。
-
KFDB011TD-E
指定されたデータベースは未サポートです。
- 説明
-
クライアントのバージョンが新しいため,サポートしていないデータベースを指定しました。または,クライアントが不正なデータを送信しました。
クライアントからの要求を受け付けません。
- 対処
-
システム管理者に連絡してください。
-
KFDB011TJ-E
jbyteArray of receive buffer is NULL. LINE:aa....aa
aa....aa:保守用情報
- 説明
-
Java I/F関数に渡された受信バッファアドレスがNULLです。
このメッセージをスローします。
- 対処
-
保守員に連絡してください。
-
KFDB012CM-E
接続したサーバシステムでシステムエラーが発生しました。[aa....aa]
aa....aa:保守用情報
- 説明
-
接続したサーバシステムでエラーが発生しました。
ユーザからの要求を受け付けません。
- 対処
-
接続したDBMSを見直し,指定し直してください。なお,このエラーが繰り返し発生する場合は,システム管理者に連絡してください。
-
KFDB012DB-E
接続しているDBMSでエラーが発生しました。nodename=aa....aa SQLCODE=bb....bb IPADDR=cc....cc
aa....aa:RDノード名称
bb....bb:接続しているDBMSのSQLコード
cc....cc:IPアドレスまたはホスト名
- 説明
-
接続しているDBMSでエラーが発生しました。
ユーザからの要求を受け付けません。
- 対処
-
接続しているDBMSのマニュアルを参照してください。
-
KFDB012MM-E
接続先データベース定義ファイルに対するアクセス権限が有りません。[aa....aa]
aa....aa:接続先データベース定義ファイル名称
- 説明
-
接続先データベース定義ファイルに対するアクセス権限がありません。
処理を終了します。
- 対処
-
接続先データベース定義ファイルにリード権限があるかどうか調べてください。リード権限がなければ,リード権限を付加してください。なお,このエラーが繰り返し発生する場合は,システム管理者に連絡してください。
-
KFDB012TD-E
指定されたSQLに誤りがあります。
- 説明
-
クライアントが指定したSQLに誤りがあります。
クライアントからの要求を受け付けません。
- 対処
-
正しいSQLを指定してください。
-
KFDB012TJ-E
Invalid response information. LINE:aa....aa
aa....aa:保守用情報
- 説明
-
ハンドルごとに保持している応答情報に不正があります。
このメッセージをスローします。
- 対処
-
保守員に連絡してください。
-
KFDB013DB-E
ユーザが指定した,認可識別子,パスワード,又はDBMS情報のどれかが32バイトを超えています。
- 説明
-
ユーザが指定した,認可識別子,パスワード,またはDBMS情報のどれかが32バイトを超えています。
ユーザからの要求を受け付けません。
- 対処
-
認可識別子,パスワード,またはDBMS情報を32バイト以内で指定してください。
-
KFDB013MM-E
データベース種別名が重複しています。LINE=aa....aa [bb....bb]
aa....aa:エラー発生行
bb....bb:エラー発生ブロック名称
- 説明
-
接続先データベース定義ファイル中のデータベース種別名が重複しています。
処理を終了します。
- 対処
-
テキストエディタを使用して,接続先データベース定義ファイルの値を修正してください。
-
KFDB013TD-E
データベースアクセスライブラリでエラーが発生しました。[ErrorCode=aa....aa]
aa....aa:保守用情報
- 説明
-
データベースアクセスライブラリでエラーが発生しました。
クライアントからの要求を受け付けません。
サーバの環境設定に問題があることが考えられます。
- 対処
-
サーバでメッセージが出力されていないか確認してください。
-
KFDB013TJ-E
Invalid status. LINE:aa....aa
aa....aa:保守用情報
- 説明
-
Java I/F関数の状態不正です。
このメッセージをスローします。
- 対処
-
保守員に連絡してください。
-
KFDB014DB-E
分散サーバでエラーが発生しました。nodename=aa....aa error text=bb....bb
aa....aa:RDノード名称
bb....bb:エラー発生システムのエラーメッセージ
- 説明
-
分散サーバでエラーが発生しました。
ユーザからの要求を受け付けません。
- 対処
-
エラーが発生したシステムのマニュアルを参照してください。
-
KFDB014MM-E
データベース名が重複しています。LINE=aa....aa [bb....bb]
aa....aa:エラー発生行
bb....bb:エラー発生ブロック名称
- 説明
-
接続先データベース定義ファイル中のデータベース名が重複しています。
処理を終了します。
- 対処
-
テキストエディタを使用して,接続先データベース定義ファイルの値を修正してください。
-
KFDB014TD-E
処理中,又は登録中により,エージェントの実行結果データはありません。
- 説明
-
処理中または登録中のため,エージェントの実行結果データはありません。
クライアントからの要求を受け付けません。
- 対処
-
正常終了のエージェントを指定してください。
-
KFDB014TJ-E
Error outbreak. LINE:aa....aa
aa....aa:保守用情報
- 説明
-
Java I/F関数がエラー発生中です。
このメッセージをスローします。
- 対処
-
保守員に連絡してください。
-
KFDB015MM-E
aa....aaを定義していません。[bb....bb]
aa....aa:必須定義名称
bb....bb:定義ブロック名称
- 説明
-
接続先データベース定義ファイルのブロック中に必須定義がありません。
処理を終了します。
- 対処
-
テキストエディタを使用して,接続先データベース定義ファイルの値を修正してください。
-
KFDB015TD-E
タイムオーバのため処理を中断しました。
- 説明
-
タイムアウトが発生しました。
クライアントからの要求を受け付けません。
- 対処
-
クライアントを再起動してから,操作を再実行してください。なお,このエラーが繰り返し発生する場合は,システム管理者に連絡してください。
-
KFDB015TJ-E
Invalid response information status. LINE:aa....aa
aa....aa:保守用情報
- 説明
-
Java I/F関数でハンドルごとに保持している応答データ情報状態が不正です。
このメッセージをスローします。
- 対処
-
保守員に連絡してください。
-
KFDB016TD-E
データベースアクセスでエラーが発生しました。[ErrorCode=aa....aa]
aa....aa:DBMSのエラーコード
- 説明
-
データベースアクセスでエラーが発生しました。
クライアントからの要求を受け付けません。
- 対処
-
操作を再実行してください。なお,このエラーが繰り返し発生する場合は,システム管理者に連絡してください。
-
KFDB016TJ-E
dayd_Control failed. LINE:aa....aa
aa....aa:保守用情報
- 説明
-
dayd_Control関数が予期しないreturn値で失敗しました。
このメッセージをスローします。
- 対処
-
保守員に連絡してください。
-
KFDB017DB-E
表属性の指定が誤っています。ErrInfo[aa....aa]
aa....aa:エラーコード
- 説明
-
表属性の指定が誤っています。
ユーザからの要求を受け付けません。
- 対処
-
表属性を正しく指定してから,再実行してください。
なお,出力されたエラーコードによって次の内容を見直してください。
- エラーコードが1の場合
-
表属性の前後が`で囲まれているか確認してください。
- エラーコードが2の場合
-
指定されている表属性が誤っていないか確認してください。
- エラーコードが3の場合
-
複数の表属性を指定した場合の区切り文字を確認してください。
-
KFDB017TJ-E
Invalid environment. aa....aa
aa....aa:Java I/F関数
- 説明
-
DABroker Libraryの動作環境が不正です。
このメッセージをスローします。
- 対処
-
DABroker Libraryの動作環境を見直してください。
-
KFDB018DB-E
入力パラメタの指定が誤っています。ErrInfo[aa....aa,bb....bb,cc....cc]
aa....aa:入力パラメタの行番号
bb....bb:入力パラメタの列番号
cc....cc:エラー項目名
- 説明
-
入力パラメタの指定が誤っています。
ユーザからの要求を受け付けません。
- 対処
-
入力パラメタを正しく指定してから,再実行してください。
-
KFDB019DB-E
出力パラメタの指定が誤っています。ErrInfo[aa....aa, bb....bb]
aa....aa:出力パラメタの列番号
bb....bb:エラー項目名
- 説明
-
出力パラメタの指定が誤っています。
ユーザからの要求を受け付けません。
- 対処
-
出力パラメタを正しく指定してから,再実行してください。
-
KFDB019MM-E
ディレクトリが存在しません。ディフォルトディレクトリを使用します。[aa....aa]
aa....aa:環境変数名
- 説明
-
環境変数に設定したディレクトリを無視して,デフォルトのディレクトリを使用します。
環境変数に設定したディレクトリが存在しないか,ディレクトリの指定が誤っていることが考えられます。
- 対処
-
要因に応じて対処してください。
- ディレクトリが存在しない場合
-
-
環境変数に設定したディレクトリを作成してください。
-
- ディレクトリの指定が誤っている場合
-
-
DABroker Library動作環境定義ファイルで環境変数を設定した場合は,テキストエディタなどを使用して,DABroker Library動作環境定義ファイルの環境変数に正しいディレクトリを指定してください。
-
DABroker Library環境設定ユティリティで環境変数を設定した場合は,DABroker Library環境設定ユティリティを使用して,環境変数に正しいディレクトリを指定してください。
-
-
KFDB020DB-E
DBMSのバージョンが違います。ErrInfo[aa....aa]
aa....aa:保守用情報
- 説明
-
DBMSは接続できるバージョンではありません。
ユーザからの要求を受け付けません。
- 対処
-
システム管理者にDBMSのバージョンを確認してください。
-
KFDB020MM-E
ディレクトリが存在しません。[aa....aa]
aa....aa:環境変数名
- 説明
-
ディレクトリが存在しないため,処理を終了します。
環境変数に設定したディレクトリが存在しないか,ディレクトリの指定が誤っていることが考えられます。
- 対処
-
要因に応じて対処してください。
- ディレクトリが存在しない場合
-
-
環境変数に設定したディレクトリを作成してください。
-
- ディレクトリの指定が誤っている場合
-
-
テキストエディタなどを使用して,DABroker Library動作環境定義ファイルの環境変数に正しいディレクトリを指定してください。
-
DABroker Library環境設定ユティリティで環境変数を設定した場合は,DABroker Library環境設定ユティリティを使用して,環境変数に正しいディレクトリを指定してください。
-
-
KFDB021DB-E
複数SQL実行の指定が誤っています。ErrInfo[aa....aa,bb....bb]
aa....aa:SQL番号
bb....bb:詳細コード
- 説明
-
複数SQL実行の指定が誤っています。
ユーザからの要求を受け付けません。
- 対処
-
複数SQL実行を正しく指定してから,再実行してください。
-
KFDB024DB-E
接続しているDBMSの制限のため,?パラメタでNULLを指定できません。[aa....aa]
aa....aa:NULLが指定された?パラメタの位置
- 説明
-
?パラメタにNULLが指定されました。
ユーザからの要求を受け付けません。
- 対処
-
?パラメタを見直して再実行してください。
-
KFDB025DB-E
HiRDBに対する接続環境が整っていません。Error code=aa....aa
aa....aa:保守コード
- 説明
-
OTSの初期化が完了していないか,HiRDBがTPBroker(OTS)に登録されていないことが考えられます。
ユーザからの要求を受け付けません。
- 対処
-
OTSの初期化完了後にDABroker Libraryにアクセスを要求しているか,アプリケーションを確認してください。また,TPBrokerにHiRDBを登録しているかを確認してください。
-
KFDB030TD-W
キャンセルされたため,処理を中断しました。
- 説明
-
キャンセルされたため,処理を中断しました。
処理を終了します。
-
KFDB031TD-W
処理が終了したため,キャンセルできません。
- 説明
-
処理をキャンセルしようとしましたが,処理が終了したため,キャンセルできませんでした。
キャンセル処理を終了します。
-
KFDB032TD-E
クライアントでサポートされていないデータ型があります。(DataType=aa....aa)
aa....aa:データ属性コード
- 説明
-
クライアントでサポートされていないデータ型があります。
処理を終了します。
- 対処
-
システム管理者に連絡してください。
-
KFDB033TD-E
データベースに接続されていません。
- 説明
-
データベースに接続されていません。
処理を終了します。
- 対処
-
データベースに接続してから,処理を再実行してください。
-
KFDB037TD-E
クライアントへの情報の送信に使用する領域が不足しました。要因=aa....aa
aa....aa:要因コード
- 説明
-
クライアントへの情報の送信に使用する領域が不足しました。
クライアントからの要求を受け付け,処理を行いました。
- 対処
-
クライアントプログラムで設定した受信データ領域長を見直してください。データベースに対して更新した場合,または表の定義を要求した場合は,データベースにアクセスし,処理が正しく実行されているか確認してください。
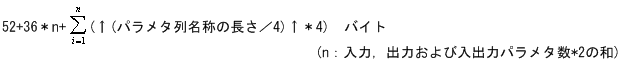
なお,出力された要因コードによって次の計算式を使用して必要な受信データ領域長を算出し,受信データ領域長を見直してください。ただし,対処後もこのエラーが繰り返し発生する場合,および次に示す要因コード以外が出力された場合は,保守員に連絡してください。
- 要因が EXT-CMD <Prepare> の場合
-
- 要因が EXT-CMD <Fetch> の場合
-
検索する1レコードの長さ+4*検索する列数 バイト
- 要因が PROCEDURE PREPARE の場合
-
- 要因が PROCEDURE EXECUTE の場合
-
- 要因が PROCEDURE-PARAMETER の場合
-
- 要因が PROCEDURE-RESULT の場合
-
- 要因が EXT-CMD <EXECUTE> の場合
-
52+4*設定された可変値データのうち実行されたレコード数 バイト
-
KFDB040TD-E
指定されたデータベース種別定義がありません。データベース種別名:aa....aa
aa....aa:データベース種別名
- 説明
-
指定されたデータベース種別名が見つかりません。
クライアントからの要求を受け付けません。
- 対処
-
接続先データベース定義で指定したデータベース種別名を確認し,再実行してください。
-
KFDB041TD-E
指定されたデータベース名定義がありません。データベース種別名:aa....aa,データベース名:bb....bb
aa....aa:データベース種別名
bb....bb:データベース名
- 説明
-
指定されたデータベース名が見つかりません。
クライアントからの要求を受け付けません。
- 対処
-
接続先データベース定義で指定したデータベース名を確認し,再実行してください。
-
KFDB043TD-E
指定されたデータベース名定義に分散定義名称がありません。データベース種別名:aa....aa,データベース名:bb....bb
aa....aa:データベース種別名
bb....bb:データベース名
- 説明
-
指定されたデータベース名定義に分散定義名称が定義されていません。
クライアントからの要求を受け付けません。
- 対処
-
接続先データベース定義を確認し,再実行してください。
-
KFDB044DB-E
接続したDBMSは未サポートです。[aa....aa]
aa....aa:保守用情報
- 説明
-
接続したDBMSはサポートしていません。
ユーザからの要求を受け付けません。
- 対処
-
接続したDBMSを見直し,指定し直してください。
-
KFDB045DB-E
指定したDBMSと接続したDBMSが異なります。
user DBMS=aa....aa system DBMS=bb....bb
aa....aa:ユーザが指定したDBMS
bb....bb:DABroker Libraryが接続したDBMS
- 説明
-
ユーザが指定したDBMSと接続したDBMSが異なります。
ユーザからの要求を受け付けません。
- 対処
-
接続するDBMSを見直し,指定し直してください。
-
KFDB047TD-E
データベース種別定義に定義したデータベース種別と,クライアントから接続要求したデータベース種別が異なります。
データベース種別名:aa....aa,データベース名:bb....bb
aa....aa:データベース種別名
bb....bb:データベース名
- 説明
-
データベース種別定義に定義したデータベース種別とクライアントから接続要求したデータベース種別が異なります。
クライアントからの要求を受け付けません。
- 対処
-
接続先データベース定義,およびクライアントの設定を確認し,再実行してください。
-
KFDB048TD-E
指定されたデータベース名定義にユーザIDがありません。
データベース種別名:aa....aa,データベース名:bb....bb
aa....aa:データベース種別名
bb....bb:データベース名
- 説明
-
指定されたデータベース名定義にユーザIDが定義されていません。
クライアントからの要求を受け付けません。
- 対処
-
接続先データベース定義を確認し,再実行してください。
-
KFDB049TD-E
データ処理中にメモリ不足が発生しました。 ErrInfo[aa....aa]
aa....aa:保守用情報
- 説明
-
処理に必要な領域を確保しようとしたとき,メモリ不足が発生しました。
処理を終了します。
- 対処
-
実行中のほかの処理を終了してから,再実行してください。
-
KFDB051DB-E
接続したサーバーシステムはサポートしていません。[aa....aa,bb....bb]
aa....aa:接続サーバ名
bb....bb:保守用情報
- 説明
-
接続しようとしたサーバシステムはサポートしていません。
ユーザからの要求を受け付けません。
- 対処
-
接続するDBMSを見直し,指定し直してください。
-
KFDB052DB-E
接続したサーバーシステムでシステムエラーが発生しました。[aa....aa]
aa....aa:保守用情報
- 説明
-
接続したサーバシステムでエラーが発生しました。
ユーザからの要求を受け付けません。
- 対処
-
接続したDBMSを見直し,指定し直してください。
-
KFDB053DB-E
DABroker DBMSドライバでシステムエラーが発生しました。[aa....aa]
aa....aa:保守用情報
- 説明
-
DBMSドライバでエラーが発生しました。
ユーザからの要求を受け付けません。
- 対処
-
接続するDBMSを見直し,指定し直してください。
-
KFDB060DB-E
XA要求でエラーが発生しました。[aa....aa]
aa....aa:保守用情報
- 説明
-
XA要求でエラーが発生しました。
ユーザからの要求を受け付けません。
- 対処
-
接続しているDBMSのマニュアルを参照してください。
-
KFDB061DB-E
接続したVOS3 XDM/RD E2でのXA環境はサポートしていません。
- 説明
-
HiRDBのクライアント経由で,VOS3 XDM/RD E2を使用しているときは,XA環境で使用できません。
- 対処
-
非XA環境で使用してください。
-
KFDB070DB-E
配列の要素に,異なるデータ型があります。[aa....aa]
aa....aa:エラーの要因となったパラメタインデックス
- 説明
-
HiRDBの配列インサート機能使用時,配列に指定するデータ型が一致していません。
ユーザからの要求を受け付けません。
- 対処
-
配列に指定するデータ型をすべて同じにして,再度実行してください。
-
KFDB100CS-E
システムコールでエラーが発生しました。(aa....aa() errno=bb....bb)
aa....aa:関数名称(保守用情報)
bb....bb:エラー番号(保守用情報)
- 説明
-
OSのシステムコール関数,またはDABroker Libraryの共通関数でエラーが発生しました。
処理を終了します。
- 対処
-
操作を再実行してください。なお,このエラーが繰り返し発生する場合は,システム管理者に連絡してください。
-
KFDB101DB-E
メモリが不足しているため,処理に必要な領域を確保できません。
- 説明
-
処理に必要な領域の確保時に,メモリ不足が発生しました。
処理を終了します。
- 対処
-
実行中のほかの処理を終了してから,再実行してください。
-
KFDB201NM-E
ディレクトリが正しくありません。
- 説明
-
ディレクトリが正しくありません。
処理を終了します。
次の要因が考えられます。
-
ディレクトリ名の指定に誤りがある
-
存在しないディレクトリが指定されている
-
- 対処
-
ディレクトリ名を正しく指定して,再実行してください。
-
KFDB202NM-E
範囲外の数値データが入力されました。
- 説明
-
範囲外の数値データが入力されました。
処理を終了します。
次の要因が考えられます。
-
数値データ以外の文字が入力された
-
全角文字が入力された
-
指定できる範囲外の数値データ入力された
-
- 対処
-
指定できるデータの範囲を確認してから,データを再入力してください。
-
KFDB204NM-E
レジストリ名aa....aaの値が長過ぎます。
aa....aa:レジストリの値の名前
- 説明
-
レジストリ名aa....aaの値の文字列長が1,024バイトを超えました。
処理を終了します。
- 対処
-
レジストリエディタで,レジストリ名aa....aaの値の文字列を1,024バイト以下に設定してください。
-
KFDB205NM-E
レジストリ名aa....aaで,DABrokerがサポートしているデータタイプと異なるデータタイプが取得されました。
aa....aa:レジストリの値の名前
- 説明
-
レジストリ名aa....aaにDABroker Libraryがサポートしているデータタイプと異なるデータタイプが指定されました。
処理を終了します。
- 対処
-
レジストリエディタでデータを修正してください。
-
KFDB206NM-E
レジストリ名aa....aaの値の取得に失敗しました。(エラー関数:bb....bb,エラーコード:cc....cc)
aa....aa:レジストリの値の名前
bb....bb:エラー関数名
cc....cc:GetLastError関数に返されたエラーコード
- 説明
-
レジストリ名aa....aaの値の取得に失敗しました。
処理を終了します。
次の要因が考えられます。
-
レジストリが破壊された
-
DABroker Libraryまたはユティリティの稼働環境が不安定になった
-
DABroker Libraryまたはユティリティが破壊された
-
レジストリの読み取り権限がない
-
- 対処
-
-
DABroker Libraryまたはユティリティを一度終了して,操作を再実行してください。
-
レジストリに読み取り権限を付与してください。
-
上記の方法で対処できない場合は,Windowsを再起動するか,DABroker Libraryをインストールし直してください。
-
-
KFDB207NM-E
レジストリ名aa....aaの値の更新に失敗しました。(エラー関数:bb....bb,エラーコード:cc....cc)
aa....aa:レジストリの値の名前
bb....bb:エラー関数名
cc....cc:GetLastError関数に返されたエラーコード
- 説明
-
レジストリ名aa....aaの値の更新に失敗しました。
処理を続行します。
次の要因が考えられます。
-
レジストリが破壊された
-
DABroker Libraryまたはユティリティの稼働環境が不安定になった
-
DABroker Libraryまたはユティリティが破壊された
-
レジストリに書き込み権限がない
-
- 対処
-
-
DABroker Libraryまたはユティリティを一度終了して,操作を再実行してください。
-
レジストリに書き込み権限を付与してください。
-
上記の方法で対処できない場合は,Windowsを再起動するか,DABroker Libraryをインストールし直してください。
-
-
KFDB213NM-E
環境設定ユティリティを実行する権限がありません。
- 説明
-
環境設定ユティリティを実行したユーザがAdministratorsグループに属していないため,実行できません。
処理を終了します。
- 対処
-
環境設定ユティリティは,Administratorsグループに属しているユーザが実行してください。
-
KFDB214NM-E
取得する情報の種類が指定されていません。
- 説明
-
データベースアクセストレースの取得が指示されましたが,取得する情報の種類が一つも指定されていません。
[設定値変更]ダイアログボックスを再表示し,ユーザの操作を待ちます。
- 対処
-
取得する情報の種類を一つ以上指定するか,[アクセストレースを取得する]チェックボックスをオフにして,再実行してください。
-
KFDB250NM-I
トレースを出力しました。
- 説明
-
トレース出力ユティリティで指定したファイルにトレースを出力しました。
処理を続行します。
-
KFDB251NM-I
出力するトレースがありません。
- 説明
-
出力を要求された種別のトレースが1件も取得されていません。
処理を続行します。
-
KFDB253NM-E
アクセストレースの出力処理中にエラーが発生しました。
- 説明
-
アクセストレースの出力処理中にエラーが発生しました。
処理を終了します。
次の要因が考えられます。
-
出力先のディスクに十分な容量がない
-
出力先のディスクに書き込む権限がない
-
出力先のディスクが書き込み禁止である
-
- 対処
-
出力先のディスクまたはファイルを確認し,再実行してください。
-
KFDB302NM-E
接続できないデータベース種別が指定されています。
- 説明
-
クライアントからデータベースへの接続が要求されましたが,サポートしていないデータベース種別のため,処理できません。
データベースとの接続を中止し,コネクションを解放します。
- 対処
-
接続できるデータベース種別を指定してください。