Cosminexus V9 アプリケーションサーバ メッセージ(構築/運用/開発用)

[目次][前へ][次へ]

KFDB037TD-E

クライアントへの情報の送信に使用する領域が不足しました。要因=aa....aa

aa....aa:要因コード
説明
クライアントへの情報の送信に使用する領域が不足しました。
クライアントからの要求を受け付け,処理を行いました。
対処
クライアントプログラムで設定した受信データ領域長を見直してください。データベースに対して更新した場合,または表の定義を要求した場合は,データベースにアクセスし,処理が正しく実行されているか確認してください。
なお,出力された要因コードによって次の計算式を使用して必要な受信データ領域長を算出し,受信データ領域長を見直してください。ただし,対処後もこのエラーが繰り返し発生する場合,および次に示す要因コード以外が出力された場合は,保守員に連絡してください。
要因が EXT-CMD <Prepare> の場合
[図データ]
要因が EXT-CMD <Fetch> の場合
検索する1レコードの長さ+4*検索する列数 バイト
要因が PROCEDURE PREPARE の場合
[図データ]
要因が PROCEDURE EXECUTE の場合
[図データ]
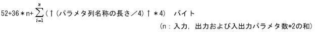
要因が PROCEDURE-PARAMETER の場合
[図データ]
要因が PROCEDURE-RESULT の場合
[図データ]
要因が EXT-CMD <EXECUTE> の場合
52+4*設定された可変値データのうち実行されたレコード数 バイト