Hitachi

JP1 Version 12 JP1/Performance Management Reference


1.5.1 Transitions from the Reports window

The following shows the window transitions from the Reports window:

Figure 1‒79: Window transitions from the Reports window

[Figure]

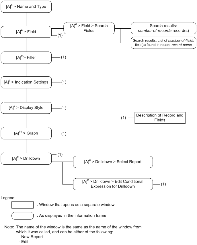
The following shows the transitions of the transitions of the windows for creating and editing report definitions in wizard format. The following figure shows the transitions from the New Report > Name and Type or Edit > Name and Type window.

Figure 1‒80: Window transitions for creating and editing report definitions

[Figure]