17.2.9 Troubleshooting problems related to collecting and managing performance data
- Organization of this subsection
(1) Even if the data storage time is set for a shorter period, the size of the Store database for Agent Store does not become smaller
If the file capacity of the Store database is already at its limit in Store version 1.0, the file size will not become smaller even if a shorter data retention period is set. In this case, set a shorter retention period, back up the Store database, and then restore it.
For details on how to set the data retention period, see 4.1.2 Modifying the retention conditions for performance data (in Store 2.0) or 4.1.3 Modifying the retention conditions for performance data (in Store 1.0). For details on how to back up and restore the Agent Store and Remote Monitor Store databases, see 9.3.3 Backing up and restoring the performance data.
(2) The KAVE00128-E, KAVE00163-E, or KAV00103-E message is output to the common message log and startup of the Store service fails
Inconsistent data might have been stored in the Store database when a PFM service was unexpectedly stopped or was forcibly stopped due to the machine powering off. To recover from this error:
-
If the Store database has been backed up, restore it.
-
If the Store database has not been backed up, stop the PFM service containing the Store service that cannot be started (Master Store service, Agent Store service, or Remote Monitor Store service), initialize the Store database, and then start the deactivated PFM service.
After you initialize the Store database, delete all the files in the installation directories of the Store database:
- When the Store database version is 1.0
-
-
Files with the extension .DB
-
Files with the extension .IDX
-
- When the Store database version is 2.0
-
-
Files with the extension .DB
-
Files with the extension .IDX
Delete the files in the STPI, STPD, and STPL directories.
(Do not delete the STPI, STPD, and STPL directories themselves.)
-
The following shows the default installation directories of the Store database.
- Store database installation directory for performance data:
-
For details, see the appropriate PFM - Agent or PFM - RM manual.
- Store database installation directory for event data:
-
- When PFM - Manager is in a non-cluster environment
-
-
In Windows:
installation-folder\mgr\store\
-
In UNIX:
/opt/jp1pc/mgr/store/
-
- When PFM - Manager is in a cluster environment
-
-
In Windows:
environment-directory\jp1pc\mgr\store\
-
In UNIX:
environment-directory/jp1pc/mgr/store/
-
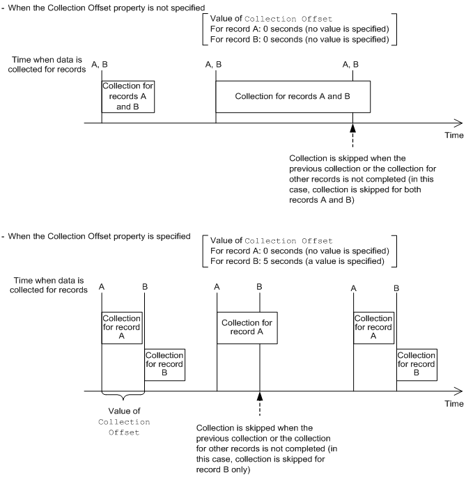
(3) Collection of performance data is skipped and the KAVE00213-W message is output
Collection of performance data by the Agent Collector service and Remote Monitor Collector service is scheduled for each record. If the previous collection for the same record or the collection for another record is not completed, the current collection is skipped.
There are two methods for avoiding this event:
-
Adjusting the value of the Collection Offset property
This method is effective when the time of collection of historical data overlaps with another one and the collection is skipped.
In the properties of the Agent Collector service or Remote Monitor Collector service, adjust the value of the Collection Offset property for records for which collection is skipped.
For details on how to change the value of the Collection Offset property, see 4.1.1 Modifying the recording options for performance data.
-
Giving a higher priority to the collection of historical data than to the display processing of real-time reports
This method is effective when the time of collection of historical data overlaps with that of the collection processing for real-time report display and the collection is skipped. This method is available when the version of PFM - Manager, PFM - Base, and PFM - Web Console in the system is 10-10-20 or later. This method is also available when the version of PFM - Agent or PFM - RM which displays real-time reports is 10-00 or later.
Change the value of the Historical Data Collection Priority Mode label (the history collection priority function) of the startup information file (jpccomm.ini) for the monitoring agent to 1 (enabled).
For details on how to change the startup information file (jpccomm.ini), see the part that explains the startup information file (jpccomm.ini) in the appendixes of the manual JP1/Performance Management Reference.
- Note
-
The Historical Data Collection Priority Mode label exists in the common section and each Agent Collector section of the jpccomm.ini file. If you want to specify the settings collectively for all the Agent Collector services and Remote Monitor Collector services on the host, change the value of the item in the common section. If you want to specify the settings independently for a specific Agent Collector service or Remote Monitor Collector service, change the value of the item in the corresponding Agent Collector section.
Note that both the methods described above are based on the assumption that processing is executed as scheduled. Therefore, in some cases, such as when processing takes longer than planned due to the reduction of response from the monitored target, you might not be able to avoid skipping collection.
(a) Difference in how performance data is collected depending on whether the Collection Offset property is specified
If the Collection Offset property is specified for a record, the collection for the target record is delayed for the specified value.
The following figure describes how performance data is collected depending on whether the Collection Offset property is specified.
|
|
(b) Display processing of real-time reports when a higher priority is given to the collection of historical data
If the value of the Historical Data Collection Priority Mode in the startup information file (jpccomm.ini) for the monitoring agent is changed to 1, display of real-time reports changes from normal mode to re-schedule mode or temporary log mode. This prevents the time of collection of historical data from overlapping with that of collection for real-time report display
-
Re-schedule mode
When a request to display a real-time report is issued, the subsequent collection schedule for historical data is automatically checked and if an overlap might occur, the display processing for the real-time report is re-scheduled.
Note that this mode cannot be used for records that take a long time to be collected or for group agents.
Figure 17‒3: Overview of re-schedule mode For details, see 17.2.9(3)(d) Operation when real-time reports are displayed in re-schedule mode.
-
Temporary log mode
Data required for real-time report display is automatically collected at regular intervals and only the latest data is temporarily stored in the memory. When a request to display a real-time report is issued, it is displayed with the temporarily stored data.
This mode is available for all records regardless of time required for collection.
Figure 17‒4: Overview of temporary log mode For details, see 17.2.9(3)(e) Operation when real-time reports are displayed in temporary log mode.
When you first enable the Historical Data Collection Priority Mode label in the jpccomm.ini file, re-schedule mode is enabled.
(c) Changing the operation mode for real-time reports
You can change the operation mode (re-schedule mode or temporary log mode) for real-time reports when the Historical Data Collection Priority Mode value is 1 (enabled) in the startup information file (jpccomm.ini) of a monitoring agent by a command.
- Changing the operation mode in the Service Properties window
-
Change the value of the Realtime Report Data Collection Mode property for each record to be used for real-time reports in the service properties of the Agent Collector service or remote agent of the target monitoring agent.
- Changing the operation mode by using a command
-
1. Use the jpcasrec output command to output the contents of the current definition to a file in XML format.
2. Change and save the value of the <realtime-report-data-collection-mode> tag.
3. Use the jpcasrec update command to update the contents of the definition.
- Specified value (common to the methods of using the window and command)
-
The value to be specified for the Realtime Report Data Collection Mode property and the <realtime-report-data-collection-mode> tag is common. Specify either of the following values:
-
Reschedule (re-schedule mode)
-
Temporary Log (temporary log mode)
-
For details on the Realtime Report Data Collection Mode property (in the service properties of the Agent Collector service or remote agent), see the appendixes of the appropriate agent manual. For additional details about the commands, see the chapter that explains commands in the manual JP1/Performance Management Reference.
(d) Operation when real-time reports are displayed in re-schedule mode
If you display a real-time report in re-schedule mode, the display processing differs from the normal display processing of real-time reports as follows.
-
If collection of historical data is scheduled within 10 seconds from a display request, the display of a real-time report is re-scheduled. In this case, the real-time report is displayed when the collection schedule of historical data has at least 10 seconds of spare time.
-
After a display request is issued, a real-time report is displayed when at least 10 seconds of spare time is available. Re-schedule mode is displayed at the top of the reports window and when you use the jpcrpt command, a message indicating the specified mode is output to confirm that re-scheduling is set to be performed.
-
For records that require at least 10 seconds to collect data, an error message is displayed in the window and a real-time report cannot be displayed.
For those records, consider displaying real-time reports in temporary log mode.
For records that might take at least 10 seconds to collect data, the value of the Over 10 Sec Collection Time property# is set to Yes. All records for group agents correspond to such records. Note that records other than such records might also take at least 10 seconds to collect data and real-time reports might not be able to be displayed depending on the environment.
#: This property is only displayed when the value of the Historical Data Collection Priority Mode label of the startup information file (jpccomm.ini) for an agent is set to 1 (enabled).
-
Checking and re-scheduling the collection schedule of historical data are also executed during automatic updating of real-time reports.
-
-
If a real-time report cannot be displayed within 50 seconds from a display request, the re-scheduling processing results in timeout because the schedule is too tight.
-
If an event in which a real-time report is not displayed continues, retry a while later. If a real-time report is still not displayed, adjust the collection interval of records or consider using historical reports.
-
Adjust the timeout time of the report display processing, which is set in the reportFirstDataTimeout parameter of the initialization file (config.xml), in coordination with the timeout time of the re-scheduling processing. If the report display timeout time is set to less than 60 seconds, a timeout is more likely to occur during re-scheduling (default value: 600 seconds). Change the value of the reportFirstDataTimeout parameter or adjust the collection schedule of historical data so that re-scheduling becomes less frequent.
-
(e) Operation when real-time reports are displayed in temporary log mode
If you display a real-time report in temporary log mode, the display processing differs from the normal display processing of real-time reports as follows.
-
Data that is temporarily saved by using a mechanism for displaying historical data is used for real-time report display.
-
Although the contents are displayed as a real-time report, they are the contents the last time data is collected rather than when a display request is issued. Temporary log mode is displayed at the top of the window in which a report is displayed and when you use the jpcrpt command, a message indicating the specified mode is output during command execution so that you can see that temporary log data is set to be displayed.
Note that while monitoring is suspended, the collection of display data for real-time reports continues to be performed.
-
Because the collected latest data is stored in the memory, the memory usage of a monitoring agent that displays real-time reports increases.
The memory usage is the sum of the used memory amount for each target record.
The used memory amount for each target record can be calculated by the following estimation formula:
(fixed portion in record size#1 + variable portion in record size#1 + 20,000) × number of record instances#2
#1: For details, see the manual of each agent.
#2: For details on how to check this, see the Release Notes of each agent.
-
Although collection processing in temporary log mode is performed regardless of the settings of the Log property for a target record (whether to collect historical data), the settings of the Collection Interval and Collection Offset properties are applied. If the collection interval for a target record is set to 0, data is not collected and a real-time report cannot be displayed.
-
-
The following setting items for report display are disabled:
-
Whether to display data with delta values
Fields for which delta values are collected (fields whose the Delta column is Yes) are always displayed by the amount of change in performance data from the previous collection.
-
Refresh interval
Updating is performed according to the setting value of the Collection Interval property (collection interval) for a target record regardless of the report display settings. A symbol - is displayed in place of the refresh interval in the report display window.
-
-
Temporarily saved data for real-time reports is deleted when the service stops and the value of the Realtime Report Data Collection Mode property is changed.
-
Immediately after a service starts or the value of the Realtime Report Data Collection Mode property for a record is changed, a real-time report might not be able to be displayed. In this case, wait until the collection processing is performed and then make a retry.
-