Hitachi

JP1 Version 12 JP1/Automatic Operation サービステンプレート開発ガイド 


3.5.6 関連線が接続できない例

フローの中で循環するような関連線や,接続元と接続先が同じ関連線などは,接続できません。

表3‒5 関連線の接続制限

接続できない関連線

詳細

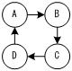
循環参照となる関連線

フローの中で,ループするような関連線は接続できない。

[図データ]

接続元ステップ自身への関連線

関連線の接続先と接続元のステップが同一の場合,関連線は接続できない。

[図データ]

同一の関連線

同じ接続先と接続元を持つ関連線は複数作成できない。

[図データ]

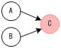
戻り値判定分岐部品への複数接続

戻り値判定分岐部品は,直前のステップの戻り値を判定する部品のため,複数ステップからの接続はできない。直前のステップとして接続できるステップは最大1つである。

[図データ]

戻り値判定分岐部品または値判定分岐部品から戻り値判定分岐部品または値判定分岐部品への接続

戻り値判定分岐部品または値判定分岐部品の分岐先として,戻り値判定分岐部品および値判定分岐部品を接続することはできない。後続するステップとして連続して接続することはできる。

[図データ]

戻り値判定分岐部品または値判定分岐部品の分岐先ステップからの関連線

戻り値判定分岐部品または値判定分岐部品の分岐先のステップは最大1個であり,関連線は接続できない。複数のステップの処理が必要となる場合は,階層フロー部品を分岐先として接続する。

[図データ]

戻り値判定分岐部品または値判定分岐部品の分岐先ステップへの関連線

戻り値判定分岐部品または値判定分岐部品の分岐先のステップに,関連線を接続することはできない。

[図データ]

(凡例)[図データ]:戻り値判定分岐部品または値判定分岐部品[図データ]:その他の部品