Hitachi

JP1 Version 12 JP1/Automatic Operation Service Template Developer's Guide 


3.5.6 Scenarios where relational lines cannot be drawn

You cannot connect relational lines in certain configurations. For example, you cannot draw a relational line that would result in a recurring loop within a flow, or whose source and destination are the same step.

Table 3‒5: Restrictions on relational lines

Restricted relational line connection

Details

Example

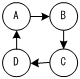
Relational lines that form a loop

You cannot use relational lines in a way that creates a loop within a flow.

[Figure]

Relational lines that connect a step to itself

You cannot draw a relational line if the source and destination steps of the line are the same.

[Figure]

Identical relational lines

You cannot create parallel relational lines with the same source and destination step.

[Figure]

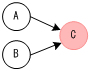
Multiple inputs to a branch by returncode plug-in

Because a branch by returncode plug-in judges the return value of the preceding step, you cannot draw relational lines to such a plug-in from multiple steps. Only one step can serve as the preceding step of a branch by returncode plug-in.

[Figure]

Connecting a branch by returncode plug-in or branch by property value plug-in to a branch by returncode plug-in or branch by property value plug-in

You cannot draw a relational line that connects a branch by returncode plug-in or branch by property value plug-in to a branch by returncode plug-in or branch by property value plug-in. However, you can connect such a plug-in as a succeeding step.

[Figure]

Relational lines from a branch destination step of a branch by returncode plug-in or branch by property value plug-in

A branch by returncode plug-in or branch by property value plug-in can only have one branch destination step, which cannot be connected further by a relational line. If you need to use several steps, draw a connection line to a flow plug-in.

[Figure]

Relational lines to a branch destination step of a branch by returncode plug-in or branch by property value plug-in

You cannot draw a relational line to the branch destination step of a branch by returncode plug-in or branch by property value plug-in.

[Figure]

Legend: [Figure]: branch by returncode plug-in or branch by property value plug-in[Figure]: Other plug-in

: Other plug-in