Hitachi

JP1 Version 12 JP1/IT Desktop Management 2 - Asset Console Configuration and Administration Guide


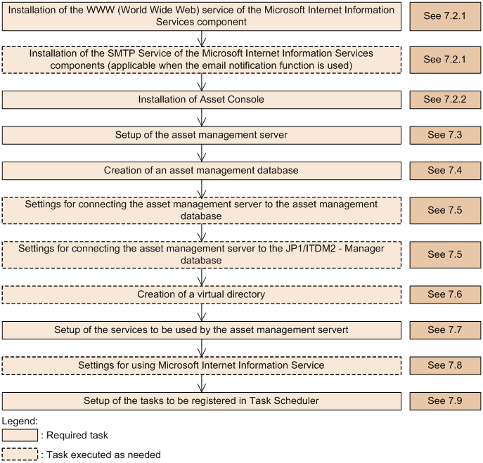
7.1 Setup procedure for Asset Console

This section describes the procedure for setting up the environment for the asset management system. The figure below shows the setup procedure.

Figure 7‒1: Setup procedure

[Figure]

The subsequent sections describe the setup method by following the procedure shown in Figure 7-1.

Note

After setting up the asset management server, you must enable the Data maintenance task that is created in Windows Task Scheduler. For details about the task and its setup method, see 7.9 Setting the tasks that are registered in Task Scheduler.

Tip

To move the data registered in a test environment or the settings made in the system definition, first use the Export job menu and output the information registered in the asset management database and the settings information to a CSV file, and then use the Import job menu to import the information into the target environment. For the operating procedure for the Export and Import job menus, see 16.11 Exporting asset information in CSV format (Export) and 16.10 Changing asset information in a batch operation (Import).

Organization of this section