HiRDB Datareplicator Version 8 Description, User's Guide and Operator's Guide

[Contents][Glossary][Index][Back][Next]

3.4.7 Operation of the supervisor machine

This section explains how to operate the supervisor machine to manipulate a Datareplicator.

Organization of this subsection
(1) Executing status monitoring
(2) Executing information collection
(3) Executing remote control
(4) Datareplicator agent operation

(1) Executing status monitoring

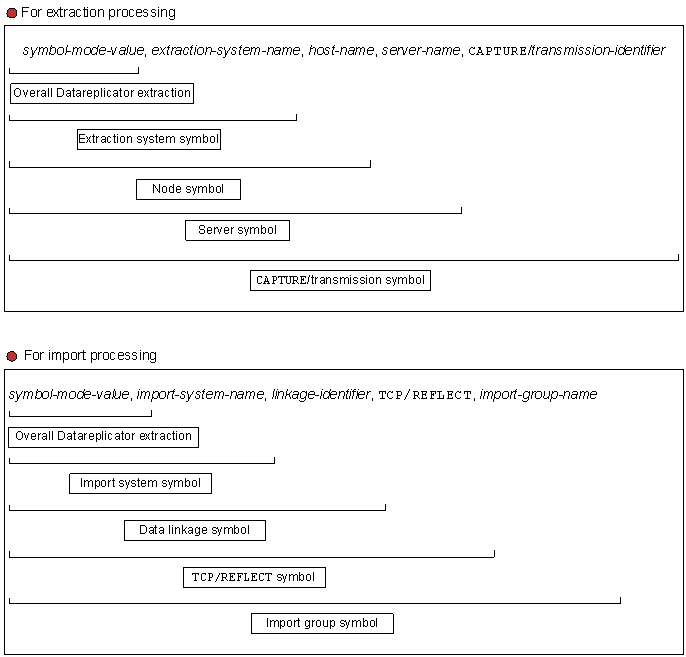
On the JP1/Cm2/Network Node Manager's screen, double-click on the machine symbol to display the Datareplicator symbol. The following are the conventions governing the symbol names displayed by the JP1/Cm2/Network Node Manager:

Symbol name conventions (notree specified)

[Figure]

Symbol name conventions (tree specified)

Type of processing Type of symbol Name of symbol
Extraction Overall source Datareplicator specified-symbol-mode
Extraction system identifier hdeid: XX
Host name host: XXXX
Server name server: XXXX
Extraction processing CAPTURE
Transmission identifier send: XXXX
Import Overall target Datareplicator specified-symbol-mode
Import system identifier hdsid: XX
Data linkage identifier dsid: XX
Communication processing TCP
Import processing REFLECT
Import group name group: XXXX

Notes

The way the symbol names are displayed depends on the JP1/Cm2 version and the specification of the hdsagtopt -d command option. The following table shows the relationships among the JP1/Cm2 version, the specification of the hdsagtopt -d command option, and the display:

hdsagtopt -d command option JP1/Cm2/Network Node Manager, JP1/Cm2/SNMP System Observer, and JP1/Cm2/Extensible SNMP Agent version
Earlier than 05-00 05-00 or later
tree Invalid display A tree structure is displayed under the machine symbol.
notree All processes are displayed under the machine symbol. All processes are displayed under the machine symbol.

When a tree structure is displayed, double-clicking on a symbol displays the lower-level symbols.

(2) Executing information collection

Use the JP1/Cm2/Network Node Manager's MIB browser to reference information about the current supervised machine. Specify the object ID of the desired Datareplicator with the MIB browser to select a query.

To collect information, use the JP1/Cm2/Network Node Manager's data collection and threshold values. Specify the object ID of the desired Datareplicator. For details about Datareplicator's object ID, see 3.4.9 MIB file.

(3) Executing remote control

Use the JP1/Cm2/Network Node Manager's MIB browser to execute a command at a remote Datareplicator.

To execute remote control:

  1. Specify in the MIB object ID the object ID for Datareplicator command issuance (.iso.org.dod.internet.private.enterprises.hitachi.systemExMib.hirdbMibs.hirdbReplicator.hdCommand).
  2. Specify the value 0 for the MIB instance.
  3. Specify in the following format the command to be executed for the SNMP value:
    Format:
    xn command
    Rules:
    x: Type of Datareplicator:
    e: Source Datareplicator
    s: Target Datareplicator
    n: Datareplicator's index number within one machine. Specify the index number beginning with 1 for each Datareplicator, source and target. You can use the information collection facility to check index numbers.
    command: Datareplicator command or filename of a created shell script.
  4. Click the Set button.
(a) Notes
(b) Example of SNMP value

This example executes import processing for each transaction on the first target Datareplicator with data linkage identifier a0 in the machine:

s1 hdsrfctl -d a0 -m trn

(4) Datareplicator agent operation

You can use JP1/Cm2/Network Node Manager's MIB browser to check the status of a Datareplicator agent or to manipulate it from a remote location.

(a) Checking the status

In the MIB browser's object ID, specify the Datareplicator agent's object ID (.iso.org.dod.internet.private.enterprises.hitachi.systemExMib.hirdbMibs.hirdbReplicator.hdAgent), and then choose a query. You can check the Datareplicator agent's status and option settings.

(b) Starting and terminating the Datareplicator agent

In the MIB browser's object ID, specify the Datareplicator agent's object ID for startup/termination (.iso.org.dod.internet.private.enterprises.hitachi.systemExMib.hirdbMibs.hirdbReplicator.hdAgent.hdAgentStart or hdAgentStop), specify the value 0 for the instance, and then click Set. You can start or terminate the Datareplicator agent.

When the Datareplicator agent is started or terminated, the startup or termination message is output to the applicable machine's system log or event log.

(c) Specifying options

In the MIB browser's object ID, specify the object ID for the option you want to specify for the Datareplicator agent (such as .iso.org.dod.internet.private.enterprises.hitachi.systemExMib.hirdbMibs.hirdbReplicator.hdAgent.hdAgentTimer to specify the monitoring interval). Specify the value 0 for the instance. Specify the new SNMP value (such as a time value), and then click Set. The Datareplicator agent's option is now specified.

A faster way of specifying options is by clicking the MIB value field immediately after displaying the Datareplicator agent's option values in (a) above.

If you change a Datareplicator agent's options, a message to that effect is output to the applicable machine's system log or event log. Note that if the percent sign (%) is specified as an option value, it is not output to the system log or event log.