uCosminexus Application Server, Common Container Functionality Guide

[Contents][Glossary][Index][Back][Next]

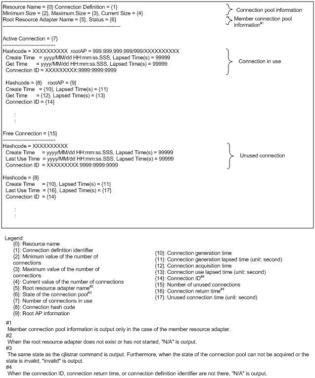
3.15.4 Displaying the connection pool information

You can use the cjlistpool command to display the information on the connections in the connection pool. You can also execute the cjlistpool command for the member resource adapters when the connection pool clustering functionality is used.

For the command details, see cjlistpool (Displaying the list of connection pools) in the uCosminexus Application Server Command Reference Guide. Also, for details on the connection pool clustering functionality, see 3.17 Functionality for connection pool clustering.

An example of displaying the connection information of a member resource adapter is as follows. Note that if the connection pool is disabled, the connection information is not displayed.

Figure 3-37 Example of displaying the connection information of a member resource adapter

[Figure]