uCosminexus Service Platform, Reference Guide
![[Contents]](FIGURE/CONTENT.GIF)
![[Glossary]](FIGURE/GLOSS.GIF)
![[Index]](FIGURE/INDEX.GIF)
![[Back]](FIGURE/FRONT.GIF)
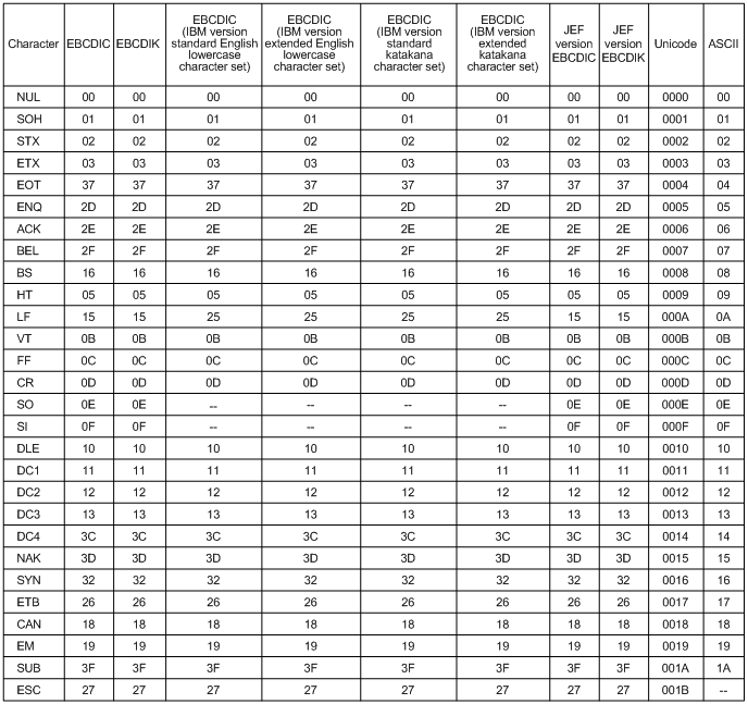
The following figure shows the mapping for converting one-byte codes.
Figure A-1 Mapping for one-byte code conversion
![[Figure]](FIGURE/EBCCODE1.GIF)
![[Figure]](FIGURE/EBCCODE2.GIF)
![[Figure]](FIGURE/EBCCODE3.GIF)
![[Figure]](FIGURE/EBCCODE4.GIF)
![[Figure]](FIGURE/EBCCODE5.GIF)
![[Figure]](FIGURE/EBCCODE6.GIF)
![[Figure]](FIGURE/EBCCODE7.GIF)
- #1
- Codes EBCDIC and EBCDIK (KEIS version) support the standard version.
- In the standard version, (5D)16 becomes (4F)16 and (21)16 becomes (5A)16.
- #2
- With EBCDIC and EBCDIK (KEIS version), (0A)16 is treated as a code for switching between one- and two-byte codes.
- #3
- With EBCDIC (IBM version), (0E)16 and (0F)16 are treated as codes for switching between two-byte and one-byte codes.
- #4
- With EBCDIC (JEF version) and EBCDIK (JEF version), (28)16, (29)16, and (38)16 are treated as codes for switching between one- and two-byte codes.
- For output, only (28)16 and (29)16 are treated as codes for switching between one- and two-byte codes.
All Rights Reserved. Copyright (C) 2015, Hitachi, Ltd.