uCosminexus Service Platform, Setup and Operation Guide

[Contents][Glossary][Index][Back][Next]

7.5.2 Failure investigations when executing setup and unsetup

Organization of this subsection
(1) Methods for log analysis and classification of failures
(2) Typical failures and countermeasures

(1) Methods for log analysis and classification of failures

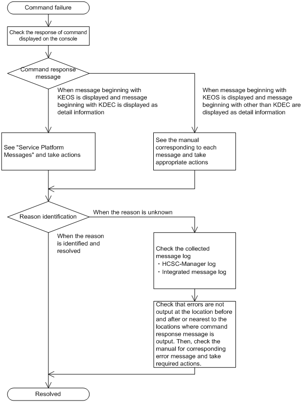
The following figure shows the investigation procedure when a failure occurs when executing setup or unsetup:

Figure 7-28 Figure Procedure to investigate failures (which occur during execution of setup or unsetup)

[Figure]

The flow of investigation shown in this figure is as follows:

  1. When a failure occurs in setup or unsetup, first check the message that is output to console as a response to the command.
    Check if another message ID is output as detailed information of messages starting with KEOS (messages related to HCSC-Manager). The output example is as follows:

    [Figure]

    • For messages whose detailed information includes a message ID that begins with KDEC
      See the manual uCosminexus Service Platform Messages, and take countermeasures.
    • For messages whose detailed information includes a message ID that does not begin with KDEC
      See the manual appropriate for the message. For example, if the detailed information includes a message ID that begins with KDJE, see the manual uCosminexus Application Server Messages.
  2. Reference the acquired message log when the cause cannot be identified. The following message log is the failure information to be referenced when executing setup or unsetup. For details, see "7.4.1 Message log".
    • HCSC-Manager log
    • Integrated message log
    Failure occurrence might be caused due to environment settings or system status before command execution. Therefore, check the locations where command response messages are output, confirm that no other error messages appear, and take appropriate actions.

Furthermore, messages output to console are sometimes duplicated. Therefore, check for the appropriate execution time, when you check the contents of messages.

(2) Typical failures and countermeasures

This point describes the typical failures and countermeasures when executing setup and unsetup:

Table 7-49 Table Typical failures and countermeasures (failure investigation when executing setup and unsetup)

Procedure (Flow) Representative error Probable causes Actions
At the time of setting the software required for execution environment During setup of the database on the server Cannot set up the permissions Database definition utility, (pddef), path of SQL Executer is not set. Set the database definition utility (pddef), path of SQL Executer.
During setup of Manager Management Server is not started Error in mserver.properties format. Review mserver.properties.For details, see "3.1.2 Setting up the software required for the execution environment".
Error in mserver.cfg format. Review mserver.cfg.
Management Server and Administration Agent are not started automatically Management Server and Administration Agent are not setup to be started automatically. Setup the Management Server and Administration Agent so that they are started automatically.
Administration Agent is not started Error in adminagent.cfg format. Review adminagent.cfg.
KEOS27010-I message is not output while checking the startup of MBean The definition file and jar does not exist under the <Installation directory of Service Platform>\manager\mbean-plugins. Copy files under <Installation directory of Service Platform>\CSC\mbean-plugins to <Installation directory of Service Platform>\manager\mbean-plugins.
For details, see "3.1.2 Setting up the software required for the execution environment".
During setup of PRF - - -
During setup of the J2EE server J2EE server is not started The system environment variables of J2EE server are not set correctly. Review the system environment variables of J2EE server.
During setup of HTTP Server - - -
During setup of the database on the client - - -
During setup of the JDBC driver - - -
During setup of DB Connector Error occurs while executing cjstartrar and cjtestres of DB Connector Database related problem:
  • HiRDB is not yet started
  • Insufficient HiRDB connections
  • Error in host name and IP address, or port number of HiRDB
  • Error in user name or password of HiRDB.

  • Confirm whether HiRDB is started.
  • Execute any of the following when there are insufficient HiRDB connections:
    (1) Change the pd_max_users of %PDDIR%\CONF\pdsyspd_max_users to 50.
    (2) Reduce the MinPoolSize of DB Connector definition or Reliable Messaging configuration properties.
  • Reference the DB Connector definition, and check that there is no error in host name or IP address and port number.
  • Check if there is no error in user name or password of HiRDB.
In UNIX/Linux environment, error occurs while executing cjstartrar or cjtestres in DB Connector
KDJE37360-E
KDJE48516-E
(javax.resource.ResourceException: KDJE50018-E is output in the detailed message in exception name and exception)
The following paths are not set to LD_LIBRARY_PATH for Linux, and to LIBPATH forAIX:
(1) DABroker path
/opt/DABroker/lib
(2) HiRDB client product path
/opt/HiRDB/client/lib
(3) HiRDB server product path
$PDDIR/client/lib
Setup the paths mentioned in the left column in LD_LIBRARY_PATH for Linux and LIBPATH for AIX.
Furthermore, (1) is required while connecting via DABroker.
Either of (2) and (3) are set up as per the software installation status when connecting to HiRDB.
For details, see "3.1.2 Setting up the software required for the execution environment".
During setup of Reliable Messaging Error occurs while executing cjstartrar or cjtestres of DB Connector Database related problem:
  • HiRDB is not yet started
  • Insufficient HiRDB connections
  • Error in host name and IP address, or port number of HiRDB
  • Error in user name or password of HiRDB.

  • Confirm whether HiRDB is started.
  • Execute any of the following when there are insufficient HiRDB connections:
  • Change the pd_max_users of %PDDIR%\CONF\pdsys to 50.
    (2) Reduce the MinPoolSize of DB Connector definition or Reliable Messaging configuration properties.
  • Reference the DB Connector definition, and check that there is no error in host name or IP address, port number, user name and password.
  • For details, see "
3.1.2 Setting up the software required for the execution environment".
KDJE48213-W is output when Reliable Messaging or J2EE server are running There is an error in the description of the queue definition file specified in configuration properties of Reliable Messaging. The specification of QueueConfigFileName of configuration properties of Reliable Messaging is not required when you use Service Platform version 07-50 or later.
During setup of Service Coordinator - Manager - - -
During setup of the HCSC server The following error occurs when executing the setup of the HCSC server:
KEOS27105-E
Management Server is not started. Check if Management Server is running.
Also confirm whether auto start is specified for Management Server.
The following error occurs when executing the setup of the HCSC server:
KEOS50007-E (KDEC10011-E is output in detailed code)
KEOS27040-E
Administration Agent is not started. Check if Administration Agent is running.
Also check whether auto start is specified for Administration Agent.
If started, confirm the contents of settings file of Management Server, and restart Management Server.
The following error occurs when executing the setup of the HCSC server:
KEOS50007-E (KDEC05001-E and KFPA11723-E is output in detailed code)
HiRDB is down. Start the HiRDB server. When you cannot start the HiRDB server, see the manual "HiRDB Messages", and take respective actions.
The following error occurs when executing the setup of the HCSC server:
KEOS50007-E (KDEC05012-E is output in detailed code)
HiRDB Type4 JDBC Driver or Oracle JDBC Thin Driver settings are not performed. Setup the class path of jar file of driver in the following three files:
(1)Set up the web.add.class.path in the option definition file (mserver.cfg) for Management Server.
(2) Set up the add.class.path in the option definition file (usrconf.cfg ) of J2EE server.
(3)Set up HCSC_ADDCLASSPATH in the HCSC-Messaging command definition file(cmdconf.bat or cmdconf).
The following error occurs when executing the set up of the HCSC server:
KEOS50007-E (KDEC10013-E is output in detailed code)
Reliable Messaging of resource adapter is not started. Start Reliable Messaging.
The following error occurs when executing the set up of the HCSC server:
KEOS50007-E (KDEC10010-E is output in detailed code)
The J2EE server is not running. Review the environment .#1
The following error occurs when executing the set up of the HCSC server:
KEOS50004-E (KEOS27105-E is output in detailed code)
Administration Agent is not running normally.
Or Manager does not manage the created J2EE server.
Review the environment .#1
As per the review results, if there is no relevant cause, the created J2EE server might not be managed by Manager.
In that case, specify the settings so that the server can be managed by Manager.#2
Check whether the read J2EE server settings are set correctly, and at restore the settings to original at locations where the settings have been changed. After that, click the Apply button on the screen. After completing the entire review, click Deploy Preference Information on the top-right of the screen to apply the settings.
Note that to manage a J2EE server with Manager logical performance tracer settings are required. Also, the following settings of "Basic Information" tab must be set to "Do not perform" (do not use) after reading. Therefore, change the settings as and when required:
  • Management Agent settings
  • Settings for the Management event issue functionality
  • Settings for the start option
During setup of the definition information of the HCSC server - - -
During startup of the HCSC server Fails to start the HCSC server
The log includes "KDJE37356-E The communication timeout occurred."
Value of both maxBinarySize and LONGVARBINARY_AccessSize of DB Connector property are 0. Change as mentioned in either (or both) of the following points:
  • Set up value other than 0 (Example: 64000) in maxBinarySize of DBConnector property.
  • Set up value other than 0 (Example: 64) in LONGVARBINARY_AccessSize.
KEOS50007-E occurs and the command fails
Either of the following messages are output to the machine log of the machine on which HCSC is running:
  • KDJE50012-E
  • KFDJ02005-E
The DB Connector specified in dbcon-nodisplayname of the HCSC server setup definition file is the DB Connector in which any item other than NoTransaction is specified in <transaction-support> When two DB Connectors are not prepared, set up two DB Connectors.
Acquire the property file of DB Connector, and specify NoTransaction in <transaction-support> and perform setup.
Check that DB Connector is set up correctly in the HCSC Server setup definition file, and setup the HCSC server again.
For details, see "3.1.2 Setting up the software required for the execution environment".
During deployment of service adapter, business process, or user-defined reception KEOS50007-E occurs and command fails. and command fails
Either of the following messages are output to the machine log of the machine on which HCSC is running:
  • KDJE50012-E
  • KFDJ02005-E
The DB Connector specified in dbcon-nodisplayname of the HCSC server setup definition file is the DB Connector in which anything other than NoTransaction is specified in <transaction-support> When two DB Connectors are not prepared, set up two DB Connectors.
Acquire the property file of DB Connector, specify NoTransaction in <transaction-support> , and perform setup.
Check that DB Connector is set up correctly in the HCSC Server setup definition file and setup the HCSC server again.
For details, see "3.1.2 Setting up the software required for the execution environment".
During setup of the definition information for user-defined reception - - -

Legend:
-: Not applicable.

Note#1
Review the following points:
  • Whether Administration Agent is started on a host where the corresponding J2EE server is running.
  • Whether the port number of the running Administration Agent and the port number of Administration Agent defined in the host of the configuration definition is the same.
  • Whether you can communicate with the host defined in the configuration definition.
  • Whether you are allowed to connect to the host running on the accessed Management Server with the property of Administration Agent.
  • Whether the product version of Management Server and Administration Agent are the same.
  • If the product edition of Management Server and Administration Agent differ, does this difference arise due to the editions that can be connected to by the user.
  • Whether the remote management functionality of Manager is started by the specified "Host name (or IP address): Port number".

Note#2
Use the following procedure to perform settings so that the created J2EE sever can be managed with Manager:
  1. In "Environment Configuration of Logical Server" on the management portal, select the J2EE server name existing under "Logical J2EE Server", and display the settings screen.
  2. Select "Read settings from the connection destination host", and then click the "Read" button.
  3. Click "Management Portal" on the top-right part of the screen. The control returns to the top page.
  4. Click "Start/Stop Logical Server". Check whether you can start the desired J2EE server.