uCosminexus Service Platform, Overview

[Contents][Glossary][Index][Back][Next]

4.8.2 Usage example of component-common UOC

An example of converting and updating value of request message in reception using component-common UOC is as follows:

The component used in this example is as follows:

For details on association of component and component-common UOC class, see "Appendix H Componentcommon UOC "" in "Service Platform Basic Development Guide".

Organization of this subsection
(1) Prerequisites
(2) Contents of process
(3) Creating UOC class
(4) Settings of an HCSC server

(1) Prerequisites

Operating environment which serves as a prerequisite is as follows:

(2) Contents of process

In this example, convert a part of request message and it becomes a process called update.

Process contents of usage example are as follows:

Figure 4-9 Process contents of usage example

[Figure]

(3) Creating UOC class

When you are creating UOC class which changes data of a request message, you must combine the process in the following manner:

  1. Implement an interface for UOC class which supports a request.
  2. Acquire a message from CSCMsgTelegramManager object of a parameter.
  3. Analyze the message and update.
    Conversion of Document is required, since the message is acquired in byte array.
  4. Convert the message in byte array.
  5. Set the converted byte array in the method for updating messages of message acquisition API.

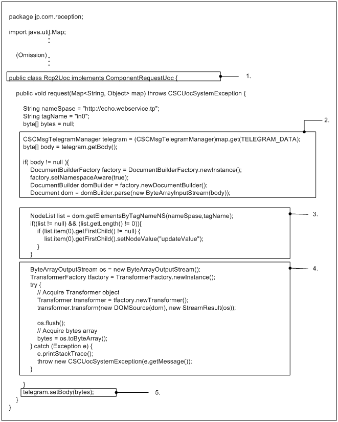
Example of creating UOC class is as follows:

Figure 4-10 Example of creating UOC class

[Figure]

Note#
Numbers within the figure correspond to steps from 1 to 5 of the process required for combination.

(4) Settings of an HCSC server

(a) Preparation of jar file

Create jar file using build tool such as Ant, store it in jar file storage directory (In this example, C:\uocjar)

(b) Preparation of property file

Contents of settings of the property file for component-common UOC are as follows:

 
rcp2=jp.com.reception.Rcp2Uoc
 

In HCSC server runtime definition file, add the definition in the following manner:

 
common-uoc-prop-path=C:\\uocconf
 
(c) Settings of option definition file (usrconf.cfg ) for J2EE server

In usrconf.cfg file, set property value in the following manner:

 
add.class.path=C:\uocjar\uocClass2.jar