Job Management Partner 1/Client Security Control Description, User's Guide and Operator's Guide
The Edit Action Policy (Customize Message) window differs depending on whether any action execution conditions have been set.
- No action execution conditions set:
- Edit the message contents in the window displayed when you select Message notification in the action items tree view.
- Action execution conditions set:
- Edit the message contents in the window displayed when you select Message notification (execution conditions) in the action items tree view.
The following figures show the Edit Action Policy (Customize Message) window in each case.
Figure 6-35 Edit Action Policy (Customize Message) window (no action execution conditions set)
Figure 6-36 Edit Action Policy (Customize Message) window (action execution conditions set)
The Edit Action Policy (Customize Message) window contains a tab for each security level, but the items in the edit view are shared across all windows.
The following explains the items to be set in the Edit Action Policy (Customize Message) window.
- Title of notification message
- Enter the title of the user notification message, in 64 or fewer bytes.
- Body text of notification message
- Enter the body text of the notification message that is to be sent to the user. How the body text is set depends on the format of the displayed message.
- When the body text of a notification message is to be displayed in HTML format
You must enter the body text of the message for both Text and HTML. First, select the Notify messages in HTML format check box. For Format, select the Text or HTML radio button, and then enter the body text of the message. Use a character string of no more than 4,096 bytes for text format, and no more than 32,768 bytes for HTML format.
In this case, an HTML message is sent to the client whose JP1/Software Distribution Client version is 08-10 or later, and a plain-text message is sent to the client whose JP1/Software Distribution Client version is 08-00 or earlier.
- When the body text of a notification message is displayed in text format
Clear the Notify messages in HTML format check box. Select the Text radio button for Format, and then enter the body text of the message, using a character string of no more than 4,096 bytes. Even if you select the HTML radio button and enter the body text of the message, an HTML message will not be sent.
In this case, a plain-text message is sent regardless of the JP1/Software Distribution Client version.
- Judgment Date button
- Use this to include the date of the security level judgment in the message body. Click the Judgment Date button to insert %judgedate% into Body text of notification message at the position of the cursor.
- You cannot insert a judgment date if the message text will exceed 4,096 bytes in text format or 32,768 bytes in HTML format as a result.
- Number of Consecutive Days button
- Use this to include the number of consecutive days set as an action execution condition in the message body. This button appears only when you select Message notification (execution conditions) in the action items tree view.
- Click this button to insert %contdays% into Body text of notification message at the position of the cursor.
- You cannot insert the number of consecutive days if the message text will exceed 4,096 bytes in text format or 32,768 bytes in HTML format as a result.
- Number of Consecutive Times button
- Use this to include the number of consecutive times set as an action execution condition in the message body. This button appears only when you select Message notification (execution conditions) in the action items tree view.
- Click this button to insert %contcnt% into Body text of notification message at the position of the cursor.
- You cannot insert the number of consecutive times if the message text will exceed 4,096 bytes in text format or 32,768 bytes in HTML format as a result.
- Include the PC's judgment result in the message
- Select this check box to include the security level for each judgment item, in the body of the notification message.
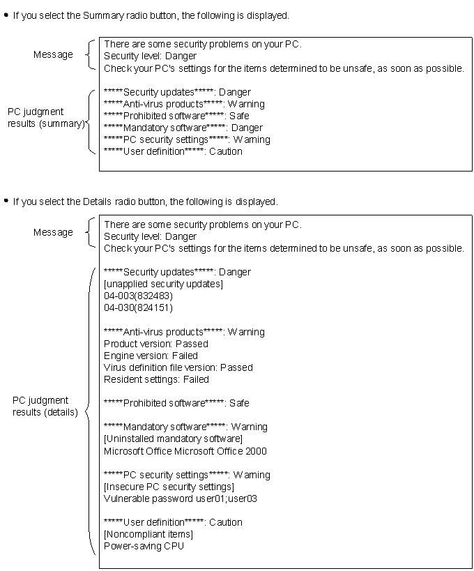
- Summary
- Select the Summary radio button to include the judgment item and security level in the body of the message.
- Details
- Select the Details radio button to include items for which problems occurred, in addition to summary information. The items included in the message include information about unapplied security updates, the application status of anti-virus products, and the software installation status.
- The following shows examples of a message sent when the Include the PC's judgment result in the message check box is selected.
- Display position of the judgment results
The judgment results for the PC are displayed at the beginning of the message in the following case: Display at the beginning of the message is set for Display position of the judgment results under Message notification information on the Basic Settings page of the Client Security Control - Manager Setup dialog box.
- Effect of the "Safe" or "Not applicable" results setting
The "Safe" or "Not applicable" results setting is under Message notification information on the Basic Settings page of the Client Security Control - Manager Setup dialog box. The items that will be reported change depending on whether Include or Do not include is selected for the "Safe" or "Not applicable" results setting. If Include is selected, the items judged Danger, Warning, Caution, Safe, Unknown, or Not applicable are displayed. If Do not include is selected, only the items judged Danger, Warning, Caution, or Unknown are displayed.
- The following shows examples of judgment result (details) displayed in a message
When Judgment results for safety items is set to include When Judgment results for safety items is set to Do not include *****Security updates*****: Caution
[unapplied security updates]
Security updates A
*****Anti-virus products*****: Caution
Product version: Failed
Engine version: Passed
Virus definition file version: Passed
Resident setting: Not applicable
*****Prohibited software*****: Safe
*****Mandatory software*****: Safe
*****PC security settings*****: Caution
[Insecure PC-security settings]
Password that never expires: Account3; Account4
*****User definition*****: Not applicable*****Security updates*****: Caution
[unapplied security updates]
Security updates A
*****Anti-virus products*****: Caution
Product version: Failed
*****PC security settings*****: Caution
[Insecure PC-security settings]
Password that never expires: Account3; Account4
- Reference note
- You can specify whether to display PC judgment results at the beginning or end of the message in the Basic settings page of the setup window of JP1/CSC - Manager. For details about how to specify this setting, see 5.4.3(1) Using the Basic Settings page.
- Note
- When a message is sent to a client user, the execution history is saved to JP1/Software Distribution Manager's CSCSendMessage folder, which logs the status of executed jobs. The number of jobs logged depends on whether you select the Include the PC's judgment result in the message check box.
- Check box selected
The result of the notification job executed for each client is logged in the CSCSendMessage folder.
- Check box cleared
The result of the notification job executed for each security level in each action policy is logged in the CSCSendMessage folder.
- Preview button
- Click this button to preview a sample of the notification message sent to the user.
The following tables describe the default for each setting item in the Edit Action Policy (Customize Message) window, by security level.
Table 6-39 Default settings in the Edit Action Policy (Customize Message) window (no action execution conditions set)
No. Window item name Default setting for each security level Danger Warning Caution Safe 1 Title of notification message Security measure execution request (Danger) Security measure execution request (Warning) Security measure execution request (Caution) None 2 Body text of notification message There are some security problems on your PC.
Security level: Danger
Check your PC's settings for the items determined to be unsafe, as soon as possible.There are some security problems on your PC.
Security level: Warning
Check your PC's settings for the items determined to be unsafe, as soon as possible.There are some security problems on your PC.
Security level: Caution
Check your PC's settings for the items determined to be unsafe, as soon as possible.None 3 Include the PC's judgment result in the message Include Include Include Do not include 4 Summary or Details Summary Summary Summary Summary
- Note
- The defaults settings are the same for text format and HTML format, with the exception that a linefeed tag (<BR>) is inserted in HTML format.
Table 6-40 Default settings in the Edit Action Policy (Customize Message) window (action execution conditions set)
No. Window item name Default setting for each security level Danger Warning Caution Safe 1 Title of notification message Security measure execution request (Danger) Security measure execution request (Warning) Security measure execution request (Caution) Security measures completion notification 2 Body text of notification message Your PC has been judged to be unsafe after the following number of days or times:
Number of consecutive days: %contdays%
Number of consecutive times: %contcnt%
Security level: Danger
Please check the PC settings for the items judged to be unsafe, as soon as possible.Your PC has been judged to be unsafe after the following number of days or times:
Number of consecutive days: %contdays%
Number of consecutive times: %contcnt%
Security level: Warning
Please check the PC settings for the items judged to be unsafe, as soon as possible.Your PC has been judged to be unsafe after the following number of days or times:
Number of consecutive days: %contdays%
Number of consecutive times: %contcnt%
Security level: Caution
Please check the PC settings for the items judged to be unsafe, as soon as possible.The security measures for the unsafe PC have been executed. 3 Include the PC's judgment result in the message Include Include Include Not include 4 Summary or Details Summary Summary Summary Summary
- Note
- The defaults settings are the same for text format and HTML format, with the exception that a linefeed tag (<BR>) is inserted in HTML format.
To edit a message in the Edit Action Policy (Customize Message) window:
- Edit the contents of the message.
Edit the title and body of the notification message.
- Click the Preview button.
Check the contents set for Body text of notification message, as displayed. If Include the PC's judgment result in the message is selected, the judgment items and security levels are also displayed.
- Click the Save button.
The edited message contents are saved.
The following figure shows a sample of the Warning Message Preview window displayed when the Preview button is clicked.
Note that the Warning Message Preview window displayed by clicking the Preview button might differ slightly from the warning message displayed in JP1/Software Distribution Client.
Figure 6-37 Warning Message Preview window (Summary)
Of the contents displayed in the Warning Message Preview window, the following items differ from the contents set for Body text of notification message.
- Judgment date
The previewed date is displayed. The date of the judgment is displayed for actual notification messages.
- Judgment results
If the Include the PC's judgment result in the message check box is selected, sample judgment results are displayed. The security level for each judgment item is displayed for actual notification messages.
- URL and email address
Any URLs or email addresses contained in Body text of notification message are underlined in blue in the Preview window when the message is displayed in text format. When the message is displayed in HTML format, URLs and email addresses are underlined by link anchors when HTML anchor tags are set.
All Rights Reserved. Copyright (C) 2009, 2011, Hitachi, Ltd.
Copyright, patent, trademark, and other intellectual property rights related to the "TMEng.dll" file are owned exclusively by Trend Micro Incorporated