JP1/Automatic Job Management System 2 コマンドリファレンス
形式
jpqjobget
[-mh マネージャーホスト名]
[{-q キュー名|-ah エージェントホスト名}]
-j ジョブ番号
[-oso 標準出力ファイル名]
[-ose 標準エラー出力ファイル名]
[-di]
[-cc]
[-ea]
機能
特定のジョブのジョブ情報を標準出力ファイルに出力します。
JP1/NQSEXECホスト,およびJP1/OJE for VOS3ホストのジョブ情報も出力できます。JP1/NQSEXECホスト,およびJP1/OJE for VOS3ホストのジョブ情報を出力する場合は,ユーザー自身が所有するジョブだけを操作できます。
また,AS/400システムのジョブ情報も標準出力ファイルに出力します。AS/400システムに対して指定できるのは,-mh,-q,-jオプションだけです。
実行権限
次に示すJP1権限レベルのどれかを与えられたユーザー
- JP1_JPQ_Admin権限
- JP1_JPQ_Operator権限
- JP1_JPQ_User権限(ユーザー自身が所有するジョブだけ操作可)
引数
-mh マネージャーホスト名
ジョブ情報を出力したいジョブをサブミットしたマネージャーホスト名を指定します。
指定できる文字数は,1〜255(単位:バイト)です。
省略した場合,自ホスト名が仮定されます。
-q キュー名
ジョブ情報を出力したいジョブをサブミットしたキュー名を指定します。
指定できる文字数は,1〜63(単位:バイト)です。
-ah エージェントホスト名
ジョブ情報を出力したいジョブをサブミットしたエージェントホスト名を指定します。
指定できる文字数は,1〜255(単位:バイト)です。
このオプションは,JP1/NQSEXECおよびJP1/OJE for VOS3との連携時には指定できません。
-j ジョブ番号
ジョブ情報を出力したいジョブのジョブ番号を指定します。
なお,ジョブ番号は,1〜999999の範囲で指定してください。
-oso 標準出力ファイル名
-jオプションに指定したジョブを実行したときに出力された,標準出力ファイルのデータを取得するためのファイル名を指定します。
指定できる文字数は,1〜511(単位:バイト)です。
このオプションは,JP1/NQSEXEC 06-00以前との連携時には指定できません。
-ose 標準エラー出力ファイル名
-jオプションに指定したジョブを実行したときに出力された,標準エラー出力ファイルのデータを取得するためのファイル名を指定します。
指定できる文字数は,1〜511(単位:バイト)です。
このオプションは,JP1/NQSEXEC 06-00以前との連携時には指定できません。
-di
-jオプションに指定したジョブの詳細情報を出力します。
-cc
-jオプションに指定したジョブを実行したエージェントが使用している文字コードを出力します。
-ea
-jオプションに指定したジョブの実行先のエージェントホスト名を出力します。
注意事項
- ジョブの実行によって標準出力ファイルや標準エラー出力ファイルが移動されたり削除されたりした場合,標準出力ファイルや標準エラー出力ファイルの情報は取得できません。
- ジョブ登録時の転送ファイルや,ジョブ情報取得時に取得する結果ファイルとして数メガバイトのファイルを転送すると,転送に失敗したり時間が掛かったりする場合があります。
戻り値
0 正常終了。 1 引数の指定が不適切である。 2 ジョブ情報の出力依頼側の内部的要因で,ジョブ情報の出力に失敗した。 5 初期化に失敗した。
- 論理ホスト名の定義または環境設定に誤りがある。
6 ジョブ情報の出力依頼側でメモリー不足が発生した。 7 ジョブ情報の出力依頼側で論理不正が発生した。 13 標準出力ファイル,標準エラー出力ファイルのデータを取得するファイルのファイルパスがないため,ファイルを作成できない。 14 標準出力ファイル,標準エラー出力ファイルのデータを取得するファイルへのアクセス権がないため,ファイルを作成できない。 15 ディスクに空き容量が不足しているため,標準出力ファイル,標準エラー出力ファイルのデータをファイルに書き込めない。 16 標準出力ファイル,標準エラー出力ファイルのデータを取得するファイルがほかのプロセスで使用されているため,ファイルを開けない。 17 戻り値13,14,15,16以外の要因で,標準出力ファイル,標準エラー出力ファイルのデータを取得するファイルを作成できない。 18 戻り値13,14,15,16以外の要因で,標準出力ファイル,標準エラー出力ファイルの書き込みに失敗した。 19 マネージャーホストから標準出力ファイル,標準エラー出力ファイルのデータを取得できなかったため,ファイルを作成できない。 100 TCP/IP通信でマネージャーホストに接続できない。
- TCP/IPが正しく設定されていないため,マネージャーホストに接続できない。
- マネージャーホスト名に誤りがある。または,マネージャーホストがプロセス停止状態である。
102 マネージャーホスト名によるIPアドレスの解決に失敗した。 200 マネージャーホストがジョブ情報の出力を受け付けない。
- マネージャーホストが運用開始処理中,運用停止処理中,運用停止中,または縮退運転中である。
201 指定したキューが使用できない。
- 指定したキューがない。
202 マネージャーホストから応答がない。 203 マネージャーホスト側の内部的要因で,ジョブ情報の出力に失敗した。 206 ジョブ情報を出力する権限がない。 207 指定したジョブがない。
- 指定したジョブがデータベース上にない。
- 指定したジョブのジョブ情報は削除済みである。
219 マネージャーホストがビジー状態である。 220 マネージャーホスト側でメモリー不足が発生した。 222 致命的なエラーが発生した。
- システムコールでエラーが発生した。
223 マネージャーホスト側で論理不正が発生した。 224 サポートしていないホストにジョブ情報の出力を依頼した。 226 実行環境が不適切である。
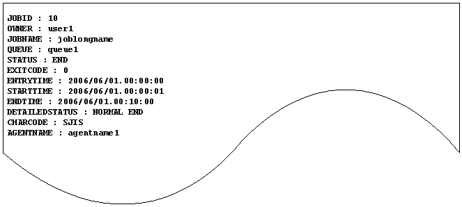
出力例
ファイル出力例と出力内容の意味を次に示します。
出力内容の意味を次に示します。
- JOBID
- ジョブ番号を示します。
- OWNER
- ジョブの所有者名を示します。
- JOBNAME
- ジョブ名を示します。
- QUEUEジョブまたはjpqjobsubコマンドでジョブ名を指定している場合はそのジョブ名を設定し,省略した場合は実行ファイル名を設定します。
- また,ジョブネットでPCジョブを定義した場合は,実行ファイル名を設定します。ジョブネットでUNIXジョブを定義した場合は,スクリプトファイル名を設定します。スクリプトファイル名を省略してコマンド文で指定した場合は,ジョブ名に「script_job」を設定します。
- アクションジョブの場合は,各アクションジョブで実行する固定の実行ファイル名をジョブ名として設定します。なお,実行ファイル名の場合,パス情報を除いたファイル名部分の先頭から63バイト分までの文字列をジョブ名として設定します。
- QUEUE
- キュー名(または,エージェントホスト名)を示します。
- STATUS
- ジョブの状態を示します。
- ROUTING:配送中※
- SCHEDULED:時間待ち
- WAITING:実行待ち
- EXECUTING:実行中
- HOLDING:保留
- END:終了
- 注※
- 「配送中」はJP1/NQSEXECシステム上のジョブの状態です。
- JP1/AJS2だけで構成されているシステムの場合,「配送中」の状態が出力されることはありません。
- -qオプションにJP1/NQSEXECだけで使用しているキュー名を指定した場合,または,-jオプションにJP1/NQSEXECシステム上のジョブのジョブ番号を指定した場合,「配送中」の状態が出力されることがあります。
- EXITCODE
- ジョブの終了コードを示します。ジョブの終了コードの詳細については,マニュアル「JP1/Automatic Job Management System 2 設計・運用ガイド 8.5.6 ジョブの終了コードを確認する」を参照してください。
- ENTRYTIME
- ジョブのサブミット日時を「YYYY/MM/DD.hh:mm:ss」の形式で示します。
- STARTTIME
- ジョブの実行開始日時を「YYYY/MM/DD.hh:mm:ss」の形式で示します。
- ENDTIME
- ジョブの実行終了日時を「YYYY/MM/DD.hh:mm:ss」の形式で示します。
- DETAILEDSTATUS
- ジョブの詳細情報を示します。-diオプションを指定したときだけ出力されます。
- END IN ANOTHER SYSTEM:ほかのシステムで終了状態(詳細情報が取得できなかった)
- WAITING:実行待ち
- HOLDING:保留中
- SCHEDULED:時間待ち
- ROUTING:配送中※1
- EXECUTING:実行中
- NORMAL END:正常終了※2
- WARNING END:警告終了※2
- ABNORMAL END:異常終了※2
- EXECUTION TIMED OUT:実行打ち切り終了
- CANCELED END:キャンセル終了(実行開始前にキャンセルを要求した)
- FORCIBLY TERMINATED:強制終了(実行開始後にキャンセルを要求した)
- FAILURE WHILE STARTING EXECUTION:実行開始中の失敗
- FAILURE WHILE ENDING EXECUTION:実行終了中の失敗※3
- 注※1
- 「配送中」はJP1/NQSEXECシステム上のジョブの状態です。
- JP1/AJS2だけで構成されているシステムの場合,「配送中」の状態が出力されることはありません。
- -qオプションにJP1/NQSEXECだけで使用しているキュー名を指定した場合,または-jオプションにJP1/NQSEXECシステム上のジョブのジョブ番号を指定した場合,「配送中」の状態が出力されることがあります。
- 注※2
- ジョブネットで作成したジョブで終了判定を設定した場合,判定方法に従った終了状態になります。
- なお,jpqjobsubコマンドの場合,ジョブの終了判定を設定できないため,警告しきい値および異常しきい値は0となります。したがって,ジョブの詳細情報(DETAILEDSTATUS)は,終了コードが0で終了した場合は正常終了(NORMAL END),0以外の値で終了した場合は異常終了(ABNORMAL END)となります。
- 注※3
- ジョブのプロセス実行後の終了処理中,またはジョブの終了後にエージェントホストとマネージャーホスト間で終了情報をやり取りする際に,何らかの障害が生じた場合にこの状態になることがあります。エラーの詳細については,統合トレースログに出力されたKAVUxxxxメッセージで確認してください。
- エージェントホストで実行していたジョブのプロセス自身は終了しています。ジョブのプロセス自身の終了状態は,ジョブのプロセスの実行履歴などで確認してください。
- CHARCODE
- ジョブを実行したエージェントで使用している文字コードを示します。-ccオプションを指定したときだけ出力されます。
- ASCII:ASCIIコード
- SJIS:シフトJISコード
- JP_EUC:日本語EUCコード
- UTF-8:UTF-8コード
- ジョブの実行が終了していない場合,またはほかのシステムのジョブの場合
- UNKNOWN:文字コード不明
- AGENTNAME
- ジョブの実行先のエージェントホスト名を示します。-eaオプションを指定したときだけ出力されます。
- エージェントホスト名が取得できない場合は,「AGENTNAME : 」と表示されます。
なお,「YYYY/MM/DD.hh:mm:ss」は「西暦年/月/日.時:分:秒」のことです。
Copyright (C) 2006, 2010, Hitachi, Ltd.
Copyright (C) 2006, 2010, Hitachi Software Engineering Co., Ltd.