Nonstop Database, HiRDB Version 9 Command Reference

[Contents][Index][Back][Next]

2.87 pdorcreate (Create an environment for reflection processing for online reorganization)

Organization of this section
(1) Function
(2) Executor
(3) Format
(4) Options
(5) Rules
(6) Notes
(7) Examples

(1) Function

The pdorcreate command creates an environment for reflection processing for online reorganization.

You must execute the pdorcreate command before you can execute the pdorbegin command.

The pdorcreate command performs the following environment creation or deletion processing:

You can execute the pdorcreate command only when HiRDB Staticizer Option has been installed and the pd_max_reflect_process_count and pd_inner_replica_control operands have both been specified in the system definition.

(2) Executor

HiRDB administrator

(3) Format

 
  pdorcreate {[-r RDAREA-name[,RDAREA-name]...]
 
               -o RDAREA-name
 
              |-d}
 

(4) Options

(a) -r RDAREA[,RDAREA]... ~<identifier> ((1-30))

Specifies the names of RDAREAs contained in the reflection status management table. Each RDAREA contains only information about the reflection status of the server where the RDAREA is located.

Rules
  1. For the rules for specifying RDAREAs, see 1.5.2 Specification of RDAREAs in operation commands and utilities.
  2. If multiple RDAREAs are specified, the command creates a row-partitioned reflection status management table.
  3. If you specify multiple RDAREAs, make sure that none of the corresponding servers is duplicated.
  4. When the -r option is omitted, the command creates a reflection status management table (non-partitioned table) in the RDAREA specified in the -o option.
  5. The command also creates an index for the reflection status management table for the specified RDAREAs.
  6. To specify an appropriate RDAREA in this command, you must create it in advance as a public user RDAREA in a HiRDB file system area that contains no RDAREAs subject to updatable online reorganization. For details about estimating the required disk space, see Area required for updatable online reorganization (user RDAREA storing reflection status management tables) in Estimating resources in the HiRDB Version 9 Staticizer Option Description and User's Guide.
  7. If a shared RDAREA or a temporary table RDAREA is specified, an error will result.
  8. To create a reflection status management table for an RDAREA for which a replica RDAREA has been defined, specify the name of the original RDAREA.
  9. Do not specify an in-memory RDAREA in this option. If an in-memory RDAREA is specified, reflection processing might not be performed correctly.
(b) -o RDAREA-name ~<identifier> ((1-30))

Specifies the RDAREA that stores the reflection status management table of a server, other than the server corresponding to an RDAREA specified in the -r option.

Rules
  1. Make sure that the RDAREAs specified in the -r option are different from the RDAREA specified in the -o option.
  2. To specify an appropriate RDAREA in this command, you must create it in advance as a public user RDAREA in the HiRDB file system area that contains no RDAREAs subject to updatable online reorganization. For details about estimating the required disk space, see the description of the -r option.
  3. If an RDAREA name is enclosed in double quotation marks ("), the system treats it as being case sensitive; otherwise, the system treats it as all uppercase letters. If an RDAREA name contains a space, enclose the entire name in double quotation marks ("). If you are using sh (Bourne shell), csh (C shell), or ksh (Korn shell), you must enclose the entire set of RDAREA names in single quotation marks (').
  4. If a shared RDAREA or a temporary table RDAREA is specified, an error will result.
  5. To create a reflection status management table for an RDAREA for which a replica RDAREA has been defined, specify the name of the original RDAREA.
  6. Do not specify an in-memory RDAREA in this option. If an in-memory RDAREA is specified, reflection processing might not be performed correctly.
(c) -d

Specifies that the reflection environment is to be deleted.

Rules
  1. When you specify the -d option, make sure that you execute the command after all reflection processing (including processing that was suspended) has been completed on HiRDB.
  2. When the -d option is specified, the command checks the reflection processing information that is managed internally by HiRDB. If updatable online reorganization is underway at any of the servers, the command issues the KFPT02023-E interactive message. If this message is issued, check all the RDAREAs at the server where the message was issued to see if they are in online reorganization hold status. If none of the RDAREAs is in online reorganization hold status, enter y; if any of the RDAREAs is in online reorganization hold status, enter n. Note that if you enter y when at least one of the RDAREAs is in online reorganization hold status, the database may be damaged.
  3. When you specify the -d option, you cannot execute the pdorcreate command in the background.
  4. To check the status of RDAREAs, use the pddbls command.

(5) Rules

  1. The pdorcreate command can be executed only while HiRDB is active.
  2. The pdorcreate command must be executed at the server machine that contains the single server or where the system manager is located.
  3. We recommend that you create a reflection status management table as a row-partitioned table for each server (to localize the effects of errors to each server).
  4. When creation of a reflection status management table is completed, the KFPT02020-I message is displayed.
  5. For details about manipulating (creating and deleting) a reflection status management table in an RDAREA for which replica RDAREAs are defined, see the manual HiRDB Version 9 Staticizer Option Description and User's Guide.
  6. Reflection status management tables cannot be created for shared RDAREAs or temporary table RDAREAs.

(6) Notes

  1. The following shows the pdorcheck command's return codes:
    0: Normal termination
    4: Warning termination
    8: Abnormal termination
  2. You can use pddbst's condition analysis for each table to determine the structure of the RDAREA used to store the reflection status management table and whether or not a reflection status management table has been created. For this purpose, specify "ORG_USER"."PDORRFST" as the table name.

(7) Examples

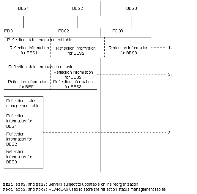
The figure below shows an example of creating reflection status management tables on BES1, BES2, and BES3. There are three ways to create the tables, but the recommended method is 1.

Figure 2-8 Example of creating a reflection status management table for BES1, BES2, and BES3

[Figure]

Explanation

  1. Command format when the ratio of the number of servers subject to updatable online reorganization to the number of RDAREAs used to store the reflection status management table is 1 to 1:
    pdorcreate -r RD01,RD02 -o RD03
  2. Command format when the ratio of the number of servers subject to updatable online reorganization to the number of RDAREAs used to store the reflection status management table is 1 to n:
    pdorcreate -r RD01 -o RD03
  3. Command format when the reflection status management table is to be stored in a single RDAREA:
    pdorcreate -o RD01