Scalable Database Server, HiRDB Version 8 Command Reference

[Contents][Index][Back][Next]

5.3 List of references by purpose

The options, control statements, and files to be specified depend on the data loading mode (type of table and type of data loading to be conducted).

sections 5.3.1 Required information through 5.3.4 Information to be specified depending on the data loading method present the tables of items and related options, control statements, and files, along with the corresponding sections. For options, see (1) through (23) in section 5.4.2 Options.

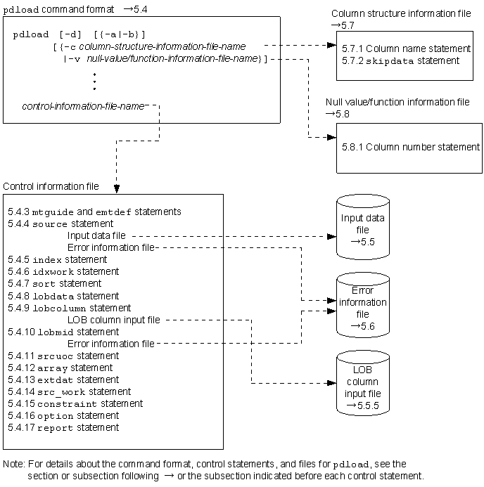
Figure 5-8 shows the relationship among options, control statements, and files.

Figure 5-8 Relationship among options, control statements, and files

[Figure]

Organization of this section
5.3.1 Required information
5.3.2 Information to be specified depending on the attribute of the table subject to data loading
5.3.3 Information to be specified depending on the type of input data file
5.3.4 Information to be specified depending on the data loading method