Scalable Database Server, HiRDB Version 8 System Operation Guide

[Contents][Index][Back][Next]

21.9 Tuning SQLs

This section explains the method of tuning SQLs that require a long time to execute or that have a large number of input/output processes.

Figure 21-2 shows the flow of SQL tuning.

Figure 21-2 SQL tuning flow

[Figure]

[Figure]

Note
The numbers to the left of the process boxes correspond to the paragraph numbers of the explanations on the following pages. For example, step 5 is explained in paragraph (5) below.
Organization of this section
(1) Determining the tuning goals and warning values for the monitored items
(2) Monitoring the usage rates of hardware resources
(3) Monitoring the global buffer pool hit rate
(4) Monitoring application throughput and SQL execution time
(5) Monitoring the table retrieval rate and storage efficiency
(6) Checking the problem
(7) Identifying the HiRDB file system area
(8) Tuning the buffer sector count of a global buffer pool
(9) Checking if the tuning goal has been reached
(10) Identifying SQLs to be tuned
(11) Checking if lock-release wait is occurring for a tuning-target SQL
(12) Tuning the application (tuning locking)
(13) Checking if lock-release wait has been eliminated
(14) Tuning the SQL
(15) Checking if the SQL tuning goal has been reached
(16) Checking if the tuning goal has been reached
(17) Tuning the database
(18) Checking if the tuning goal has been reached
(19) Tuning hardware resources

(1) Determining the tuning goals and warning values for the monitored items

Determine the tuning goals and warning values for the monitored items. Determine the overall system performance (for example, application processing time and transaction commit count), and then set tuning goals accordingly. Also set warning values for the following monitored items:

(2) Monitoring the usage rates of hardware resources

When the usage rates of hardware resources, such as a server machine's processor and disks, become high, tuning may be necessary. High hardware resource usage rates may cause system throughput to decline. This is the reason why you should monitor the usage rates of hardware resources.

Using the OS's sar command (vmstat command for Linux), for example, you can identify hardware resources that have high usage rates, such as the server machine's processor and disks.

Reference note
  • Use of JP1/Performance Management - Agent Option for Platform provides you with a facility for checking hardware resource usage rates. For details about JP1/Performance Management - Agent Option for Platform, see the manual For UNIX Systems: Job Management Partner 1/Performance Management - Agent for Platform.
  • If you are using a Hitachi disk array device (Lightning/Thunder series), you can use HiCommand Tuning Manager - Agent for RAID to collect performance data for the disk array device. For details about HiCommand Tuning Manager - Agent for RAID, see the manual HiCommand Tuning Manager - Agent for RAID.

(3) Monitoring the global buffer pool hit rate

When the global buffer pool hit rate declines, tuning may be necessary. You can execute the pdbufls command to check the global buffer pool hit rate.

Reference note
You can also use JP1/Performance Management - Agent Option for HiRDB to check the global buffer pool hit rate.

(4) Monitoring application throughput and SQL execution time

When application throughput decline, tuning may be necessary. You can collect statistics on system operations by executing the statistics analysis utility (pdstedit command) and then use this information to check application throughput.

You can also use the SQL runtime warning output facility to monitor SQL execution time. For details about the SQL runtime warning output facility, see 8.9 Output of warning information about the time required for SQL execution (SQL runtime warning output facility).

Reference note
You can also use JP1/Performance Management - Agent Option for HiRDB to check application throughput.

(5) Monitoring the table retrieval rate and storage efficiency

When the arrangement of table data becomes fragmented, tuning may be necessary. The KFPH00212-I or KFPH22017-I message is output when the retrieval rate or storage efficiency declines for a table, so you should watch for these messages.

Reference note
  • HiRDB provides a facility for predicting reorganization time, which predicts the date when a table will need to be reorganized. For details about the facility for predicting reorganization time, see 13.4 Predicting table reorganization time (facility for predicting reorganization time).
  • You can also use JP1/Performance Management - Agent Option for HiRDB to collect messages related to tables whose data retrieval rates or storage efficiency have declined.

(6) Checking the problem

You should perform tuning when any of the items monitored in steps (2) through (4) exceeds its warning value. If you use OS or HiRDB commands to collect data on the items being monitored, compare the currently collected data with previously collected data to determine whether warning values have been exceeded.

If a hardware resource whose warning value has been exceeded is a processor, use an OS command to determine whether HiRDB processes are using many processors.

If a warning is issued by the SQL runtime warning output facility, go to step (8) and perform tuning.

If the data arrangement becomes fragmented in a table being monitored in step (5) and a message is issued, go to step (17) and perform tuning.

Reference note
If you use JP1/Performance Management - Agent for Platform, JP1/Performance Management - Agent Option for HiRDB, or HiCommand Tuning Manager - Agent Option for RAID, you can monitor items by specifying warning values for the data in the monitored items. When any of these warning values is exceeded, a warning is issued.

(7) Identifying the HiRDB file system area

When a hardware resource or global buffer pool hit rate exceeds its warning value in step (6), you must identify the HiRDB file system area to which the hardware resource is related. To collect information about the relationship between the hardware resource or global buffer pool that exceeded its warning value and a HiRDB file system area, you need to summarize the information between individual layers.

You can check SQL_PHYSICAL_FILES in the dictionary table to identify the relationship between a disk volume and a HiRDB file system area, the relationship between a HiRDB file system area and HiRDB files, and the relationships between HiRDB files and RDAREAs. If you are using the inner replica facility, check the SQL_IOS_GENERATIONS table.

For a HiRDB file system area for work table files, you can determine the name of the HiRDB file system area by checking the value specified in the pdwork operand. You can also check the SQL_TABLES table or SQL_INDEXES table in the dictionary table to identify the relationships between RDAREAs and tables (or indexes).

Reference note
  • If you use HiRDB CM, you can collect information about the relationships between disk volumes and tables (or indexes).
  • If you are using a Hitachi disk array device (Lightning/Thunder Series), you can use HiCommand Tuning Manager - Agent for RAID Map to collect information about the relationships between ports and logical devices in the disk array device. For details about HiCommand Tuning Manager - Agent for RAID Map, see the manual HiCommand Tuning Manager - Agent for RAID Map.

(8) Tuning the buffer sector count of a global buffer pool

If the buffer sector count of a global buffer pool is small, system throughput may have declined or hardware resource usage rates may have increased.

Tune the buffer sector count of the global buffer pool that is related to the HiRDB file system area identified in step (7). If a reduced global buffer pool hit rate necessitated tuning, tune the buffer sector count of the applicable global buffer pool. If application throughput or SQL execution time necessitated tuning, tune the buffer sector counts of all global buffer pools.

For details about the buffer sector count of a global buffer pool, see the manual HiRDB Version 8 Installation and Design Guide. For details about how to tune global buffer pools, see 21.1 Tuning global buffer pools.

(9) Checking if the tuning goal has been reached

If the tuning goal has been reached by the tuning performed in step (8), terminate tuning. If the tuning goal has not been reached, proceed to the next step and continue tuning.

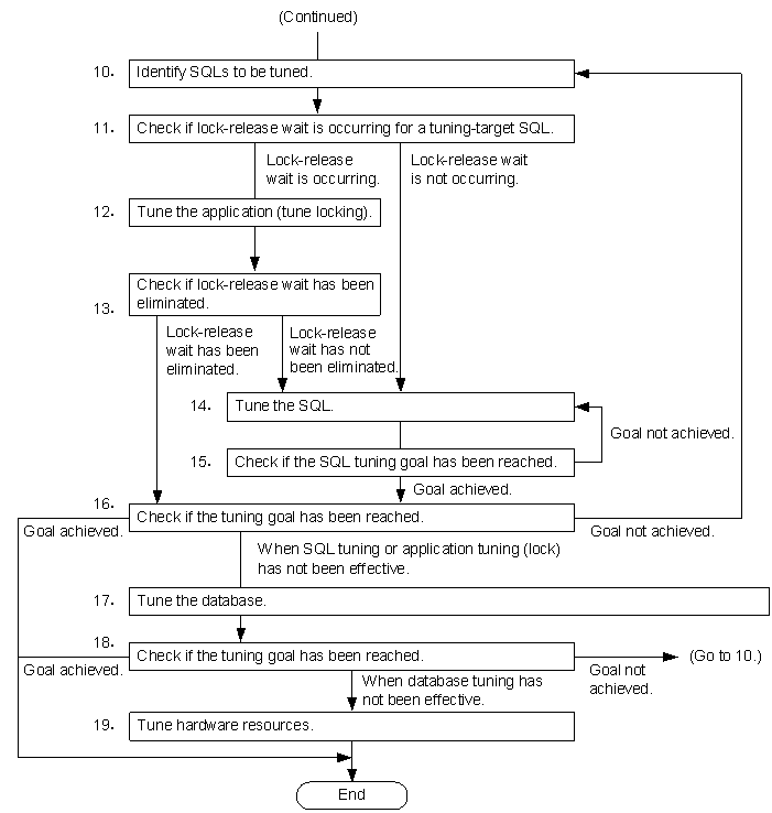
(10) Identifying SQLs to be tuned

Identify SQLs to be tuned. Also establish tuning goals for the SQLs.

Use the pdobils command to collect statistics on an SQL object buffer, and make the SQLs listed below the tuning targets. When you collect statistics on an SQL object buffer, you can check each SQL's execution time, number of executions, and number of inputs/outputs.

Set each SQL's target execution time, target number of executions, and target number of inputs/outputs as the tuning goals.

(11) Checking if lock-release wait is occurring for a tuning-target SQL

Execute the statistics analysis utility (pdstedit command) to collect statistics on system operations and check whether lock-release wait has occurred. If it has, collect the server's lock status regularly, and check whether lock-release wait is occurring. If an applicable SQL is using a resource for which there is a lock-release wait, it is safe to assume that lock-release wait is occurring for that tuning-target SQL.

If there is a lock-release wait, release the lock by performing application tuning (lock tuning) in step (12). If no lock-release wait has occurred, tune the SQL in step (14).

(12) Tuning the application (tuning locking)

If lock-release wait is occurring for a tuning-target SQL, tune the application (tune the locking). For details about application tuning (tuning locking), see Lock in the manual HiRDB Version 8 UAP Development Guide.

(13) Checking if lock-release wait has been eliminated

Check if application tuning has eliminated the lock-release wait that has occurred for the tuning-target SQL. For the checking procedure, see step (11).

If lock-release wait has been eliminated, go to step (16) and check if the tuning goal has been achieved. If lock-release wait has not been eliminated, go to step (14) and tune the SQL.

(14) Tuning the SQL

Table 21-1 shows the methods for tuning an SQL.

Table 21-1 SQL tuning methods

SQL characteristics Assumed cause Details Corrective action
The real READ count for data pages, index pages, and directory pages or the total number of referencing operations is large (the number of inputs/outputs is greater than originally designed, or execution time is longer than originally designed) Unsuitable access path to the table Table scan is being executed when the table search range is wide. See the concept of tuning with the access path display utility in the manual HiRDB Version 8 Command Reference.
Table scan is being executed in a search for which a narrowing condition is specified (an unsuitable index is being used).
Index search range is wide (search is over an unnecessarily wide range).
Index search range has not been narrowed because there is no search condition, or the search condition is invalid.
A search with multiple predicates specified using AND is being performed.
Unsuitable joining method Index of a join key of an inner table is unsuitable for nest-loop-join.
Index being used for outer join is unsuitable.
BROADCAST or KEY RANGE PARTIAL BROAD CAST transmission is specified as the transmission method for nest-loop-join (for a HiRDB/Parallel Server).
READ or WRITE count exists for work table files (execution time is longer than originally designed) Unsuitable joining method Packet partitioning has been executed multiple times because of a large number of hash-joined inner tables or subquery searches. See the preparations for executing hash join or subquery hash in the HiRDB Version 8 UAP Development Guide.
A large volume of data is sorted in sort-merge join. See the concept of tuning with the access path display utility in the manual HiRDB Version 8 Command Reference.
Cross-join is executed.
Sorting was executed. Sorting is executed for ORDER BY processing.

(15) Checking if the SQL tuning goal has been reached

Check if the tuning goal has been reached for the tuning-target SQL. Collect statistics on the SQL object buffer, and check whether the SQL execution time, execution count, and input/output count are within the target ranges. If the goals have not been reached, return to step (14) and tune the SQL again.

(16) Checking if the tuning goal has been reached

Check if the tuning goal has been reached. If it has, terminate tuning. If the tuning goal has not been reached, return to step (10), identify the tuning-target SQL again, and tune it.

If SQL tuning or application tuning has not produced the desired effects, go to step (17) and tune the database.

(17) Tuning the database

If SQL tuning or application tuning does not produce the desired effects, tune the database. Tune the following items:

(18) Checking if the tuning goal has been reached

Check if tuning the database has achieved the tuning goal. If so, terminate tuning. If the tuning goal has not been reached, go to step (10), identify the tuning-target SQL again, and tune it.

If database tuning has not produced the desired effects, go to the next step and tune hardware resources.

(19) Tuning hardware resources

Add or augment hardware resources. Using the OS's sar command (vmstat command for Linux), for example, determine processor usage and disk usage. Add or augment the hardware resource that has the highest usage.

If the hardware resource with the highest usage is a processor, switching to a higher-performance processor may reduce processing time. If the hardware resource with the highest usage is a disk, switching to a higher-performance disk or adding disks (increasing the spindle count) in the case of a disk array device may reduce input/output time.

Reference note
  • You can also use JP1/Performance Management - Agent Option for Platform to check processor and disk volume usage.
  • If you are using a Hitachi disk array device (Lightning/Thunder Series), you can use HiCommand Tuning Manager - Agent for RAID to collect performance data for the disk array device.