OpenTP1 Version 7 Operation

[Contents][Index][Back][Next]

jnlstts (Output uptime statistics)

Format

jnlstts [-e edit-item] [-u edit-unit] [-l lines] [-c] [-i interval]
        [-t [begin][,end]] [{-s server-name|-s service-name}]
        [file-name]

Function

The jnlstts command collects statistics from a specified unload journal file or global archive unload journal file. This command edits the statistics and outputs it to the standard output.

The following information is output:

Options

-e edit-item~<<all>>

Specifies the item to be edited:

sys: Output system statistics

trn: Output transaction statistics

rsp: Output statistics about response

dly: Output statistics about communication delay

all: Both of the above

-u edit-unit~<<srv>>

Specifies the unit of editing:

srv
Edit in units of server names.
If srv is specified, it is assumed that a server name has been specified in the -s option.

svc
Edit in units of service names.
If svc is specified, it is assumed that a service name has been specified in the -s option.

This option is applicable only when trn or all is specified for the -e option.

-l lines~<unsigned integer>((12~256))<<24>>

Specifies the number of output lines per page.

-c

Displays the edited results of uptime statistics, in CSV format.

-i interval

Specifies in hours or minutes the interval at which uptime statistics are to be edited and output:

h[HH]
Output at an interval of the specified number of hours (01 [Figure] HH [Figure] 24) (when specification of HH is omitted, the output interval is one hour).

m[MM]
Output at an interval of the specified number of minutes (01 [Figure] MM [Figure] 09) or tens of minutes (10 [Figure] MM [Figure] 30) (when specification of MM is omitted, the output interval is 10 minutes).

If intervals in both hours and minutes are specified, an error occurs.

When the -i option is omitted, the output interval is one hour.

-t [begin][,end]

Specifies the uptime statistics output range in terms of the journal block output begin and end times.

In "begin", specify the output start time. In "end", specify the output end time.

For begin, specify a time between 00:00:00 on January 1, 1970 and the current year, month, day, and time.

The start time and end time cannot both be omitted. When the start time is omitted, the output range is from the beginning of the file to the specified end time. When the end time is omitted, the output range is from the specified start time to the end of the file.

The begin and end times are expressed in the format hhmmss[MMDD[YYYY]]:

hh: Hour (00 [Figure] hh [Figure] 23); cannot be omitted

mm: Minute (00 [Figure] mm [Figure] 59); cannot be omitted

ss: Second (00 [Figure] ss [Figure] 59): cannot be omitted

MM: Month (01 [Figure] MM [Figure] 12); can be omitted#

DD: Day (01 [Figure] DD [Figure] 31); can be omitted#

YYYY: Year (4-digit year from 1970); can be omitted#

#: If the year is omitted from the begin or end time, the specified month, day, and time of the current year are assumed. If the year, month, and day are omitted, the current year, month, and day, and the specified time are assumed. You cannot omit only the month and day, or the month or the day. Doing so causes an option error. If you want to omit the month or the day, then omit the year, the month, and the day (all three).

When the -t option is omitted, all information in the specified file is edited and output.

-s server-name~<1-8 alphanumeric characters>

Specifies the name of a server that is to be subject to editing.

If sys is specified in the -e option and no server name is specified, the statistics for all servers are output. If srv is specified in the -u option, it is assumed that a server name has been specified in the -s option. If sys is specified in the -e option and SYSTEM as the server name, the statistics for the entire system are output.

-s service-name~<1-31 alphanumeric characters>

Specifies the name of the service whose statistics are to be edited and output. If trn is specified in the -e option, svc in the -u option and no service name is specified, the statistics for all services are output. If svc is specified in the -u option, it is assumed that a service name has been specified in the -s option.

Following are the combinations of the -e, -u, and -s options:

-e option -u option -s option Output information Remarks
sys -- Server name System statistics for specified server None
SYSTEM Statistics for entire system
trn srv Server name Transaction statistics for specified server
svc Service name Transaction statistics for specified service
Omitted Server name Transaction statistics for specified server
rsp -- Service name Statistics about response for specified service
dly -- -- All statistics about communication delay
all srv Server name All statistics for specified server All data will be output for statistics about response or communication delay.
svc Service name All statistics for specified service All data will be output for statistics about the system or communication delay.
Omitted Server name All statistics for specified server All data will be output for statistics about response or communication delay.

--: Cannot be specified
Following are the combinations of options that can be specified by the jnlstts command:
[Figure]

#1: If svc is specified in the -u option, it is assumed that a service name has been specified in the -s option.

#2: If srv is specified in the -u option, it is assumed that a server name has been specified in the -s option.

Command arguments

file-name~<path name>

Specifies the name of an unload journal file or global archive unload journal file.

When the multinode facility is used, the name of the file sorted and merged by the jnlsort command must be specified.

When this command argument is omitted, the standard input is assumed.

Output format

(1) System statistics

The output format is as follows:

[Figure]

The output format is as follows when the -c option is specified (CSV format):

[Figure]

1
Statistics about each collected component are edited and displayed for each specified server name.

2 through 8
Displayed on a single line each.

aa...aa
File name

bb...bb
File creation date and time

cc...cc
Start time specified with the -t option (when the -t option is omitted, * is displayed)

dd...dd
End time specified with the -t option (when the -t option is omitted, * is displayed)

ee...ee
Node identifier

ffffffff
Server name
When displayed, SYSTEM means the entire system statistics.

gg...gg
Edit start time for system statistics

hh...hh
Edit end time for system statistics

xx...xx
Statistics (decimal number of 10 digits or less. If the number of events or the average value overflows, * is displayed. If there is no edited data for the maximum value, the minimum value, or the average value, - is displayed.)

vv-rr
Version number-revision number

yyyy
Page

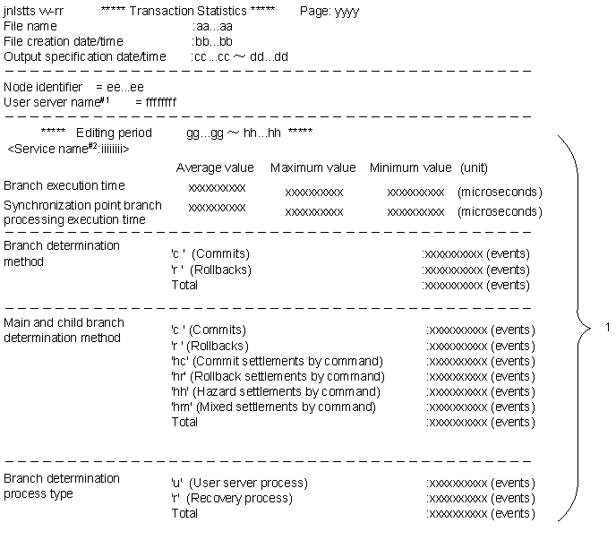
(2) Transaction statistics (editing in units of service names)

When srv is specified in the -u option or the -u option is omitted, statistics are edited in units of server names. When svc is specified in the -u option, statistics are edited in units of service names.

The output format is as follows:

[Figure]

#1: When svc is specified in the -u option, a service name is output.

#2: When svc is specified in the -u option, a user server name is output.

The output format is as follows when the -c option is specified (CSV format):

[Figure]

1
This information is displayed for each service name.
When svc is specified in the-u option, this information is repeatedly displayed for each server name.

2 through 17
Displayed on a single line each.

aa...aa
File name

bb...bb
File creation date and time

cc...cc
start time specified with the -t option (when the -t option is omitted, * is displayed)

dd...dd
End time specified with the -t option (when the -t option is omitted, * is displayed)

ee...ee
Node identifier

ffffffff
User server name
When svc is specified in the -u option, a service name is output.

gg...gg
Edit start time for transaction statistics

hh...hh
Edit end time for transaction statistics

iiiiiiii
Service name (if there is no service name, * is displayed)
When svc is specified in the -u option, a user server name is output.

xx...xx
Statistics (displayed by counting fractions of .5 and over of the average as a unit and disregarding the rest. If the maximum, minimum, or average overflows, * is set.)

vv-rr
Version number-revision number

yyyy
Page

(3) Statistics about response

The output format is as follows:

[Figure]

The output format is as follows when the -c option is specified (CSV format):

[Figure]

#: The service execution time and the service wait time of the MHP are not acquired.

1
This information is displayed for each service name.

2 through 6
Displayed on a single line each.

aa...aa
File name

bb...bb
File creation date and time

cc...cc
Start time specified with the -t option (when the -t option is omitted, * is displayed)

dd...dd
End time specified with the -t option (when the -t option is omitted, * is displayed)

ee...ee
Node identifier

ff...ff
Service group name

gg...gg
Edit start time for statistics about response

hh...hh
Edit end time for statistics about response

ii...ii
Service name

xx...xx
Statistics (decimal number of 10 digits or less. The average is determined by counting fractions of .5 and over as a unit and disregarding fractions under. If the maximum, minimum, or average overflows, * is set. If there is no edited data, - is set.)

vv-rr
Version number-revision number

yyyy
Page

(4) Statistics about communication delay

The output format is as follows:

[Figure]

The output format is as follows when the -c option is specified (CSV format):

[Figure]

1
This information is displayed for each send destination node identifier.

2 through 4
Displayed on a single line each.

aa...aa
File name

bb...bb
File creation date and time

cc...cc
Start time specified with the -t option (when the -t option is omitted, * is displayed)

dd...dd
End time specified with the -t option (when the -t option is omitted, * is displayed)

ee...ee
Node identifier

ff...ff
Send destination node identifier

gg...gg
Edit start time for statistics about communication delay

hh...hh
Edit end time for statistics about communication delay

xx...xx
Statistics (decimal number of 10 digits or less. The average is determined by counting fractions of .5 and over as a unit and disregarding fractions under. If the maximum, minimum, or average overflows, * is set.)

vv-rr
Version number-revision number

yyyy
Page

Output messages

Message ID Description Output destination
KFCA02600-E An error occurred while the unload journal file was being accessed. Standard error output
KFCA02601-E The unload journal file is invalid. Standard error output
KFCA02602-E The journal block is invalid. Standard error output
KFCA02603-E The journal record is invalid. Standard error output
KFCA02604-E Memory cannot be allocated. Standard error output
KFCA02660-I Help message Standard output,
standard error output
KFCA02661-E A parameter in the jnlstts command is invalid or its value exceeds the limit. Standard error output
KFCA02662-E The combination of options in the jnlstts command is invalid. Standard error output
KFCA02663-E An option in the jnlstts command is specified incorrectly. Standard error output
KFCA02664-E A file name in the jnlstts command is specified incorrectly. Standard error output
KFCA02665-E Statistics cannot be output because the value specified for the -l option in the jnlstts command is too small. Standard error output

Notes

Examples

In this example, the command edits system statistics from the beginning of an unload journal file up to 17:30:00.999999 on May 29, 1993, and outputs them every 30 minutes:

Unload journal file: sysjnl001

jnlstts -e sys -i m30 -t ,17300005291993
/OpenTP1/jnl/sysjnl001

In this example, the last time period is from 17:30 to 18:00. However, system statistics from 17:30:00.0 on May 29, 1993 up to 17:30:00.999999 on May 29, 1993 are output.