OpenTP1 Version 7 System Definition

[Contents][Index][Back][Next]

1.1 Definition set

There are the following three types of OpenTP1 definitions.

  1. Systems service definitions
    The information about TP1/Server Base is defined.
    These definitions determine the configuration of services that operate in the system and the system-common execution environment.
  2. Network communication definitions
    The information about TP1/Message Control is defined.
    These definitions determine the logical configuration of the system and the execution environment, such as the application programs and services to be used, for communicating with remote systems using the message control facility of TP1/Message Control.
    For details about a protocol, see the applicable OpenTP1 Protocol manual.
    The message control facility is called MCF hereafter in this manual.
  3. Message queue definitions
    The information about TP1/Message Queue is defined.
    These definitions determine the execution environment for communicating with remote systems using the message queuing facility of TP1/Message Queue.
    Note that this manual does not describe the details about the message queue definitions (MQT communication configuration definition). For the MQT communication configuration definition, see the OpenTP1 TP1/Message Queue User's Guide.
    Note that this manual does not describe the details about the network library definitions (TP1/NET/OSI-TP-Extended definition).

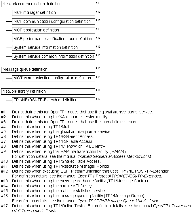
The following figure shows how OpenTP1 system definitions are organized. Table 1-1 to 1-3 give overviews of the definitions.

Figure 1-1 OpenTP1 system definition set

[Figure]

[Figure]

Table 1-1 Summary of system service definitions

No. Definition Information
1 System environment definition Defines the execution environment for an OpenTP1 system.
2 System service configuration definition Defines the configuration of service groups to be started together on one machine as one OpenTP1 system.
3 User service configuration definition Defines the configuration of user server groups to be started together on one machine as one OpenTP1 system.
4 System common definition Defines the common execution environment for an OpenTP1 system.
5 Lock service definition Defines the execution environment to use the OpenTP1 exclusive control function.
6 Timer service definition Defines the execution environment to use the time check service.
7 Name service definition Defines the execution environment to manage the service name and corresponding address which enables RPC.
8 Process service definition Defines the execution environment to manage the server process executed under the OpenTP1 environment.
9 Schedule service definition Defines the execution environment to schedule service requests to a server operating under the OpenTP1 environment.
10 Transaction service definition Defines the execution environment to manage transactions.
11 XA resource service definition Defines the execution environment for managing transactions using the XA resource service.
12 Interval service definition Defines the execution environment for the interval timer function to be provided for each system service.
13 Status service definition Defines the execution environment to manage the status of each system service operating under the OpenTP1 environment.
14 Journal service definition Defines the execution environment to use the system journal service and checkpoint dump service.
15 System journal service definition Defines the execution environment to collect a journal in the system journal file.
16 Checkpoint dump service definition Defines the execution environment to collect a checkpoint dump in the checkpoint dump file.
17 Log service definition Defines the environment for message log output.
18 Multinode configuration definition Defines the configuration of a multinode area or multinode subarea.
19 Multinode physical definition Defines the name of a host where OpenTP1 nodes exist and the port number of a process server demon (prcd).
20 Global archive journal service definition Defines the execution environment for using the global archive journal service.
21 Archive journal service definition Defines the file group name and attribute of an archive journal file.
22 DAM service definition#1 Defines the execution environment to manage direct access files having the file restoration function.
23 TAM service definition#2 Defines the execution environment to manage TAM files.
24 Client service definition Defines the execution environment for a server to support the OpenTP1 client functions.
25 IST service definition#3 Defines the execution environment for using the IST service.
26 RMM service definition#4 Defines the resource manager that uses the RMM service.
27 Monitored RM definition#5 Defines the RMM service command.
28 Extended RM registration definition#5 Defines the execution environment to register the resource manager provided by other than OpenTP1.
29 XATMI communication service definition Defines the execution environment to perform OSI TP communication with XATMI interface using TP1/NET/OSI-TP-Extended.
30 Message queue service definition Defines the execution environment to manage queuing of input/output messages.
31 User service network definition Defines the service information for the destination.
32 RAP-processing listener service definition Defines the rap listener when using the remote API facility.
33 RAP-processing client manager service definition Defines the execution environment to use the remote API client manager facility.
34 Performance verification trace definition Defines the file for storing the performance verification trace.
35 XAR performance verification trace definition Defines the execution environment for acquiring an XAR performance verification trace.
36 JNL performance verification trace definition Defines the execution environment for acquiring a JNL performance verification trace.
37 LCK performance verification trace definition Defines the execution environment for acquiring an LCK performance verification trace.
38 TRN event trace definition Defines the execution environment for acquiring TRN event trace information.
39 Real-time statistics service definition Defines the execution environment for the real-time statistics service.
40 Real-time statistics acquisition-item definition Defines the real-time statistics items that are to be acquired.
41 MQA service definition#6 Defines the MQA server that manages the queue of TP1/Message Queue.
42 MQT service definition#7 Defines the MQT server that controls TP1/Message Queue communications.
43 Tester service definition Defines the execution environment for online testing of a UAP.
44 User service default definition Defines the value assumed when the user service definition is omitted.
45 User service definition Defines the execution environment for a user server.

#1: Direct Access Method

#2: Table Access Method

#3: Internode Shared Table

#4: Resource Manager Monitor

#5: Resource Manager

#6: Message Queue Access

#7: Message Queue Transfer

Table 1-2 Summary of network communication definitions

No. Definition Information
1 MCF manager definition Defines the execution environment for resources shared by MCFs.
2 MCF communication configuration definition Defines the execution environment for each connected MCF terminal, the input/output queues for sending and receiving messages, and other network parameters.
3 MCF application definition Defines the execution environment for MCF applications such as the user application name, or service name corresponding to a MCF event.
4 MCF performance verification trace definition Defines the execution environment for acquiring an MCF performance verification trace.
5 System service information definition Defines the environment for starting the MCF communication service.
6 System service common information definition Defines the information that is common to multiple MCF communication services.

Table 1-3 Summary of the message queue definition

No. Definition Information
1 MQT communication configuration definition# Defines the MQT server that communicates using the message queuing mode of TP1/Message Queue.

#: Message Queue Transfer